精英家教网 > 高中数学 > 题目详情

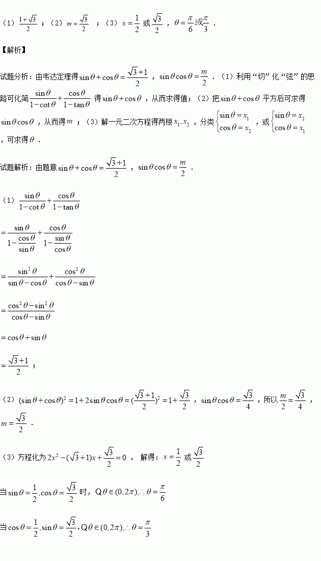
已知关于的方程的两个根分别为.求:

(1)的值;

(2)的值;

(3)方程的两个根及此时的值.

练习册系列答案
相关习题

科目:高中数学 来源:2016届重庆市高三下学期模拟文科数学试卷(解析版) 题型:解答题

选修4-5:不等式选讲

(1) 求的解集;

若不等式对任意实数恒成立,求实数的取值范围.

查看答案和解析>>

科目:高中数学 来源:2015-2016学年宁夏六盘山高中高二下第二次月考文数学卷(解析版) 题型:选择题

过点平行于极轴的直线的极坐标方程是( )

A. B.

C. D.

查看答案和解析>>

科目:高中数学 来源:2015-2016学年宁夏六盘山高中高二下第二次月考理数学卷(解析版) 题型:选择题

从1,2,3,4,5中任取2个不同的数,事件“取到的2个数之和为偶数”,事件“取到的2个数均为偶数”,则( )

A. B. C. D.

查看答案和解析>>

科目:高中数学 来源:2015-2016学年宁夏六盘山高中高二下第二次月考理数学卷(解析版) 题型:选择题

圆上有10个点,过每三个点画一个圆内接三角形,则一共可以画的三角形个数为( )

A.720 B.360 C.240 D.120

查看答案和解析>>

科目:高中数学 来源:2015-2016学年辽宁省庄河市高一下期中文科数学试卷(解析版) 题型:填空题

函数,其中,若动直线与函数的图像有三个不同的交点,它们的横坐标分别为,则的取值范围是______________.

查看答案和解析>>

科目:高中数学 来源:2015-2016学年辽宁省庄河市高一下期中文科数学试卷(解析版) 题型:选择题

与向量平行的单位向量为( )

A. B.

C. D.

查看答案和解析>>

科目:高中数学 来源:2015-2016学年辽宁省庄河市高一下期中理科数学试卷(解析版) 题型:填空题

已知直三棱柱的6个顶点都在球的球面上,若,则球的半径为______________.

查看答案和解析>>

科目:高中数学 来源:2015-2016学年广东中山一中高二下期中理科数学试卷(解析版) 题型:解答题

已知.经计算得.

(1)由上面数据,试猜想出一个一般性结论;

(2)用数学归纳法证明你的猜想.

查看答案和解析>>

同步练习册答案