精英家教网 > 高中数学 > 题目详情

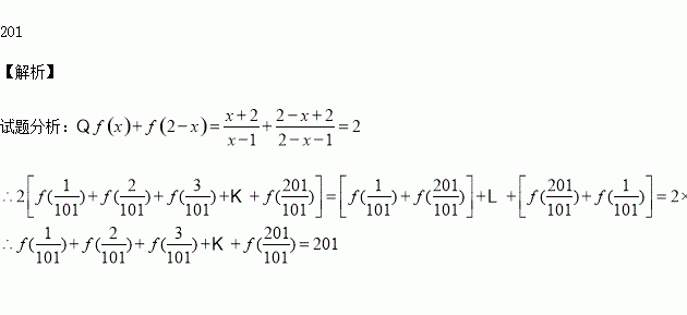
设函数,则的值为

练习册系列答案
相关习题

科目:高中数学 来源:2015-2016学年广东省普宁市高一上学期第一次月考数学试卷(解析版) 题型:解答题

(15分)在平面直角坐标系xOy中,点A(-1,-2)、B(2,3)、C(-2,-1).

(1)求以线段AB、AC为邻边的平行四边形的两条对角线的长;

(2)设实数t满足(-t)·=0,求t的值

查看答案和解析>>

科目:高中数学 来源:2015-2016学年广东省揭阳市高一上学期第一次阶段考试数学试卷(解析版) 题型:填空题

查看答案和解析>>

科目:高中数学 来源:2016届浙江省瑞安市高三上学期第一次四校联考理科数学试卷(解析版) 题型:填空题

如图,四边形ABCD和ADPQ均为正方形,它们所在的平面互相垂直,M,E,F分别为PQ,AB,BC的中点,则异面直线EM与AF所成的角的余弦值是

查看答案和解析>>

科目:高中数学 来源:2015-2016学年福建省分校高一上学期第一次月考数学卷(解析版) 题型:选择题

函数y=1-的图象是( )

查看答案和解析>>

科目:高中数学 来源:2016届河北省高三上第二次月考文科数学B卷(解析版) 题型:解答题

(本小题满分12分)若关于x的方程有两个相等的实数根.

(1)求实数a的取值范围.

(2)当a=时,求的值.

查看答案和解析>>

科目:高中数学 来源:2016届河北省高三上第二次月考文科数学A卷(解析版) 题型:解答题

(本小题满分12分)某同学用五点法画函数在某一个周期内的图像时,列表并填入了部分数据,如下表:

0

0

5

-5

0

(1)请将上表数据补充完整,并直接写出函数的解析式;

(2)若函数的图像向左平移个单位后对应的函数为,求的图像离原点最近的对称中心.

查看答案和解析>>

科目:高中数学 来源:2015-2016学年西藏日喀则一中高二10月月考理科数学卷(解析版) 题型:解答题

如图,在四棱锥中,底面为直角梯形,,平面底面的中点,是棱上的点,

(Ⅰ)求证:平面平面

(Ⅱ)若二面角,设,试确定的值.

查看答案和解析>>

科目:高中数学 来源:2015-2016学年河北衡水中学高二上二调考试文科数学试卷(解析版) 题型:选择题

执行如图所示程序框图(算法流程图),输出的结果是

A.5 B.6 C.7 D.8

查看答案和解析>>

同步练习册答案