精英家教网 > 高中数学 > 题目详情

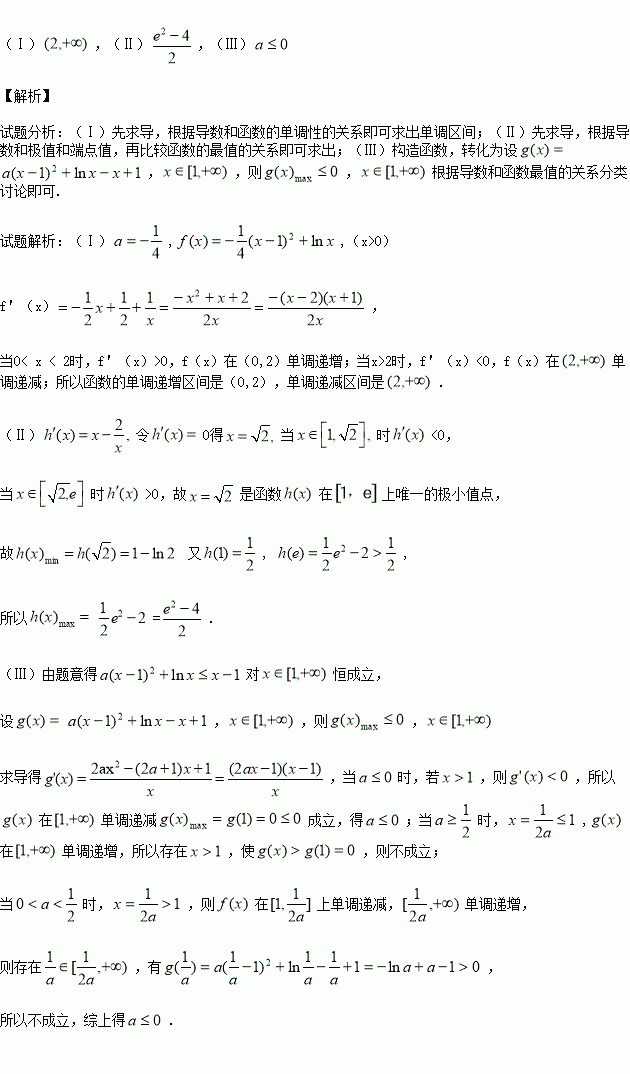
已知函数

(Ⅰ)当时,求函数的单调区间;

(Ⅱ)时,令.求上的最大值和最小值;

(Ⅲ)若函数恒成立,求实数的取值范围

练习册系列答案
相关习题

科目:高中数学 来源:2015-2016学年吉林省高二11月月考理科数学卷(解析版) 题型:选择题

给出下列四个命题:

① 如果命题“”与命题“”都是真命题,那么命题一定是真命题;

② 命题“若,则”的否命题是:“若,则”;

③ 若命题,则

④ 设是首项大于零的等比数列,则“”是“数列是递增数列”的充分而不必

要条件. 其中为真命题的个数是( )

A.4个 B.3个 C.2个 D.1个

查看答案和解析>>

科目:高中数学 来源:2016届湖北武汉华中师大一附等高三上第一次联考文数学卷(解析版) 题型:选择题

若函数对任意满足,则下列不等式成立的是( )

A. B.

C. D.

查看答案和解析>>

科目:高中数学 来源:2015-2016学年浙江省高一上学期期中数学试卷(解析版) 题型:填空题

已知集合,则

查看答案和解析>>

科目:高中数学 来源:2015-2016学年湖南师大附中高二上学期期中文科数学试卷(解析版) 题型:填空题

将函数的图像向右平移 个单位( )得到函数的图像,则=____________________.

查看答案和解析>>

科目:高中数学 来源:2015-2016学年湖南衡阳八中高二上第二次月考理科数学卷(解析版) 题型:解答题

已知函数的图象在点为自然对数的底数)处的切线斜率为3.

(1)求实数的值 ;

(2)若,且对任意恒成立,求最大值;

(3)当时,证明

查看答案和解析>>

科目:高中数学 来源:2014-2015学年贵州省高二上学期半期考试文科数学试卷(解析版) 题型:填空题

已知中心在原点,一焦点为的椭圆被直线截得的弦的中点横坐标为,求此椭圆的方程.

查看答案和解析>>

科目:高中数学 来源:2016届四川省成都市高三11月阶段测试理科数学试卷(解析版) 题型:填空题

函数的定义域为

查看答案和解析>>

科目:高中数学 来源:2015-2015学年云南省玉溪市高二上学期期中数学试卷(解析版) 题型:选择题

设三棱柱的侧棱垂直于底面,所有棱长都为,顶点都在一个球面上,则该球的表面积为 ( )

A. B. C. D.

查看答案和解析>>

同步练习册答案