精英家教网 > 高中数学 > 题目详情

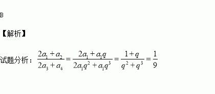
成等比数列,其公比为3,则的值为( )

A.1 B. C. D.

练习册系列答案
相关习题

科目:高中数学 来源:2015-2016学年广东省清远市实验学校高二上学期期中数学试卷(解析版) 题型:选择题

在数列中,,则的值为 ( )

A.99 B.101 C.102 D.49

查看答案和解析>>

科目:高中数学 来源:2015-2016学年吉林省扶余市高一上学期期中考试数学试卷(解析版) 题型:选择题

设函数f (x)=x-lnx (x>0),则y=f (x)( )

A.在区间( ,1)、(1,e)内均有零点

B.在区间( ,1)、(1,e)内均无零点

C.在区间( ,1)内有零点,在区间(1,e)内无零点

D.在区间( ,1)内无零点,在区间(1,e)内有零点

查看答案和解析>>

科目:高中数学 来源:2015-2016学年湖南省高二上学期期中考试理科数学试卷(解析版) 题型:解答题

(本题12分)已知函数

(1)当时,解不等式

(2)比较的大小;

(3)解关于x的不等式

查看答案和解析>>

科目:高中数学 来源:2015-2016学年福建省高一上学期期中考试数学试卷(解析版) 题型:选择题

函数上为减函数,则的取值范围是( )

A. B. C. D.

查看答案和解析>>

科目:高中数学 来源:2015-2016学年福建省高二上学期期中考试理科数学试卷(解析版) 题型:选择题

已知{an}为等差数列,a1+a3+a5=105,a2+a4+a6=99,以Sn表示{an}的前n项和,则使得Sn达到最大值的n是( )

A.21 B.20 C.19 D.18

查看答案和解析>>

科目:高中数学 来源:2014-2015学年上海市高二下学期期末考试数学试卷(解析版) 题型:填空题

在二项式的展开式中,含的项的系数是 .(用数字作答)

查看答案和解析>>

科目:高中数学 来源:2015-2016学年辽宁省大连市高二上期中文科数学试卷(解析版) 题型:选择题

双曲线的离心率为

(A) (B) (C) (D)

查看答案和解析>>

科目:高中数学 来源:2015-2016学年河北省邢台市高二上第一次月考数学试卷(解析版) 题型:填空题

若圆锥的侧面积与过轴的截面面积之比为,则其母线与轴的夹角的大小为

查看答案和解析>>

同步练习册答案