精英家教网 > 高中数学 > 题目详情

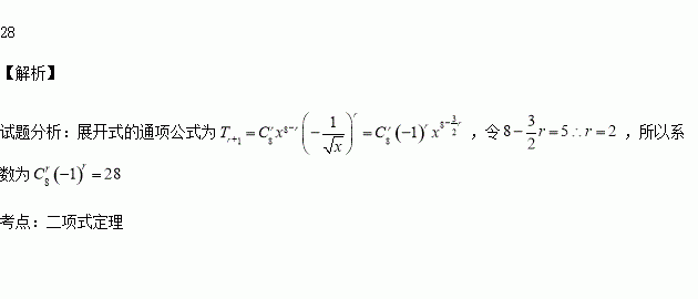
在二项式的展开式中,含的项的系数是 .(用数字作答)

练习册系列答案
相关习题

科目:高中数学 来源:2015-2016学年山东省高一上学期期中模块考试数学试卷(解析版) 题型:选择题

已知函数,若,则此函数的单调递增区间是( )

A.

B.

C.

D.

查看答案和解析>>

科目:高中数学 来源:2015-2016学年吉林省扶余市高二上学期期中考试理科数学试卷(解析版) 题型:填空题

设正实数 满足的最小值为

查看答案和解析>>

科目:高中数学 来源:2015-2016学年福建省高二上学期期中考试文科数学试卷(解析版) 题型:选择题

成等比数列,其公比为3,则的值为( )

A.1 B. C. D.

查看答案和解析>>

科目:高中数学 来源:2015-2016学年福建省高二上学期期中考试理科数学试卷(解析版) 题型:选择题

中,,则此三角形解的情况是( )

A.两解 B.一解 C.一解或两解 D.无解

查看答案和解析>>

科目:高中数学 来源:2015-2016学年重庆市高二上第一次月考理科数学试卷(解析版) 题型:选择题

中,内角的对边分别是,若,则=( )

A. B. C. D.

查看答案和解析>>

科目:高中数学 来源:2015-2016学年辽宁省大连市高二上期中文科数学试卷(解析版) 题型:解答题

(本小题满分12分)

已知圆,圆心为,定点为圆上一点,线段的垂直平分线与直线交于点

(Ⅰ)求点的轨迹的方程;

(Ⅱ)过点的直线与曲线交于不同的两点,且满足为坐标原点),求直线斜率的取值范围.

查看答案和解析>>

科目:高中数学 来源:2015-2016学年江西省赣州市十三县高二上期中联考文科数学试卷(解析版) 题型:解答题

(本小题满分12分)已知圆轴相切.

(1)求的值;

(2)若圆的切线在轴和轴上的截距相等,求该切线方程;

(3)从圆外一点向圆引切线,M为切点,O为坐标原点,且有,求使最小的点P的坐标.

查看答案和解析>>

科目:高中数学 来源:2015-2016学年广东省普宁市高二上期中理科数学试卷(解析版) 题型:选择题

下列函数中,为奇函数的是

A. B.

C. D.

查看答案和解析>>

同步练习册答案