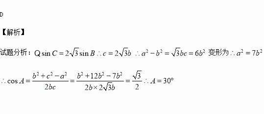
精英家教网 > 高中数学 > 题目详情

中,内角的对边分别是,若,则=( )

A. B. C. D.

练习册系列答案
相关习题

科目:高中数学 来源:2015-2016学年江苏省无锡市四校高二上学期期中考试数学试卷(解析版) 题型:解答题

已知直线与圆C:相交于A,B两点,弦AB中点为M(0,1),

(1)求实数的取值范围以及直线的方程;

(2)若圆C上存在四个点到直线的距离为,求实数a的取值范围;

(3)已知N(0,﹣3),若圆C上存在两个不同的点P,使,求实数的取值范围.

查看答案和解析>>

科目:高中数学 来源:2015-2016学年湖南省高二上学期期中考试理科数学试卷(解析版) 题型:解答题

(本题12分)已知函数

(1)当时,解不等式

(2)比较的大小;

(3)解关于x的不等式

查看答案和解析>>

科目:高中数学 来源:2015-2016学年福建省高二上学期期中考试理科数学试卷(解析版) 题型:选择题

已知{an}为等差数列,a1+a3+a5=105,a2+a4+a6=99,以Sn表示{an}的前n项和,则使得Sn达到最大值的n是( )

A.21 B.20 C.19 D.18

查看答案和解析>>

科目:高中数学 来源:2014-2015学年上海市高二下学期期末考试数学试卷(解析版) 题型:填空题

在二项式的展开式中,含的项的系数是 .(用数字作答)

查看答案和解析>>

科目:高中数学 来源:2015-2016学年山东省临沂市高二上期中模拟理数学试卷(解析版) 题型:选择题

,则( )

A. B.

C. D.

查看答案和解析>>

科目:高中数学 来源:2015-2016学年辽宁省大连市高二上期中文科数学试卷(解析版) 题型:选择题

双曲线的离心率为

(A) (B) (C) (D)

查看答案和解析>>

科目:高中数学 来源:2015-2016学年江西省赣州市十三县高二上期中联考理科数学试卷(解析版) 题型:解答题

(本题12分)

已知数列的前项和为,向量,满足条件

(1)求数列的通项公式;

(2)设函数,数列满足条件

①求数列的通项公式;

②设,求数列的前项和

查看答案和解析>>

科目:高中数学 来源:2016届重庆市高三上学期第三次月考文科数学试卷(解析版) 题型:选择题

已知某几何体的三视图如右图所示,则该几何体的体积是( )

A. B. C. D.

查看答案和解析>>

同步练习册答案