精英家教网 > 高中数学 > 题目详情

,则( )

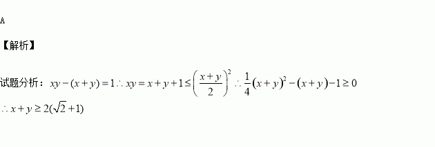
A. B.

C. D.

练习册系列答案
相关习题

科目:高中数学 来源:2015-2016学年江苏省无锡市四校高二上学期期中考试数学试卷(解析版) 题型:填空题

长方体中,,则与平面所成的角的大小为

查看答案和解析>>

科目:高中数学 来源:2015-2016学年福建省高一上学期期中考试数学试卷(解析版) 题型:解答题

(本小题满分12分)已知全集为,集合

(1)当时,求

(2)若,求实数的取值范围.

查看答案和解析>>

科目:高中数学 来源:2014-2015学年上海市高二下学期期末考试数学试卷(解析版) 题型:填空题

如图,中,,在三角形内挖去半圆,圆心在边AC上,半圆与BC、AB相切于点C、M,与AC交于点N,则图中阴影部分绕直线AC旋转一周所得旋转体的体积为

查看答案和解析>>

科目:高中数学 来源:2015-2016学年重庆市高二上第一次月考理科数学试卷(解析版) 题型:选择题

中,内角的对边分别是,若,则=( )

A. B. C. D.

查看答案和解析>>

科目:高中数学 来源:2015-2016学年辽宁省大连市高二上期中文科数学试卷(解析版) 题型:选择题

已知是双曲线的两焦点,以点为直角顶点作等腰直角三角形,若边的中点在双曲线上,则双曲线的离心率是

(A) (B)

(C) (D)

查看答案和解析>>

科目:高中数学 来源:2015-2016学年辽宁省大连市高二上期中理科数学试卷(解析版) 题型:选择题

若椭圆的离心率为,则=

(A) (B) (C) (D)

查看答案和解析>>

科目:高中数学 来源:2015-2016学年江西省赣州市十三县高二上期中联考理科数学试卷(解析版) 题型:选择题

等差数列中,则数列前9项的和等于( )

A.66 B.99 C.144 D.297

查看答案和解析>>

科目:高中数学 来源:2016届重庆市高三上学期第三次月考理科数学试卷(解析版) 题型:选择题

,若函数内有4个零点,则实数的取值范围是( )

A. B. C. D.

查看答案和解析>>

同步练习册答案