精英家教网 > 高中数学 > 题目详情

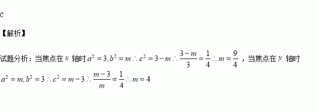
若椭圆的离心率为,则=

(A) (B) (C) (D)

练习册系列答案
相关习题

科目:高中数学 来源:2015-2016学年江苏省大丰市高二上学期期中考试数学试卷(解析版) 题型:填空题

已知平面上定点F1、F2及动点M.命题甲:“为常数)”;命题乙:“ M点轨迹是以F1、F2为焦点的双曲线”.则甲是乙的_____条件.(填“充分不必要”、“必要不充分”、“充要”、“既不充分也不必要”中的一个)

查看答案和解析>>

科目:高中数学 来源:2015-2016学年福建省高二上学期期中考试理科数学试卷(解析版) 题型:选择题

已知{an}为等差数列,a1+a3+a5=105,a2+a4+a6=99,以Sn表示{an}的前n项和,则使得Sn达到最大值的n是( )

A.21 B.20 C.19 D.18

查看答案和解析>>

科目:高中数学 来源:2015-2016学年山东省临沂市高二上期中模拟理数学试卷(解析版) 题型:选择题

,则( )

A. B.

C. D.

查看答案和解析>>

科目:高中数学 来源:2015-2016学年辽宁省大连市高二上期中文科数学试卷(解析版) 题型:选择题

双曲线的离心率为

(A) (B) (C) (D)

查看答案和解析>>

科目:高中数学 来源:2015-2016学年江西省等三校高二上第一次联考数学试卷(解析版) 题型:选择题

若a>0,b<0,c<0,则直线ax+by+c=0必不通过( )

A.第一象限 B.第二象限 C.第三象限 D.第四象限

查看答案和解析>>

科目:高中数学 来源:2015-2016学年江西省赣州市十三县高二上期中联考理科数学试卷(解析版) 题型:解答题

(本题12分)

已知数列的前项和为,向量,满足条件

(1)求数列的通项公式;

(2)设函数,数列满足条件

①求数列的通项公式;

②设,求数列的前项和

查看答案和解析>>

科目:高中数学 来源:2015-2016学年湖北省宜昌市高二上期中理科数学试卷(解析版) 题型:解答题

(12分)某人去开会,他乘火车、轮船、汽车、飞机去的概率分别为0.3,0.2,0.1,0.4.

(1)求他乘火车或乘飞机去的概率;

(2)求他不乘飞机去的概率;

(3)若他去的概率为0.5,请问他有可能是乘何种交通工具去的?

查看答案和解析>>

科目:高中数学 来源:2016届云南省玉溪市高三上学期期中理科数学试卷(解析版) 题型:选择题

设直线与曲线有三个不同的交点A、B、C,且|AB|=|BC|=,则直线的方程为( )

A. B. C. D.

查看答案和解析>>

同步练习册答案