精英家教网 > 高中数学 > 题目详情

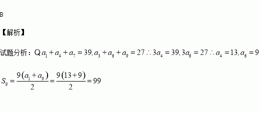
等差数列中,则数列前9项的和等于( )

A.66 B.99 C.144 D.297

练习册系列答案
相关习题

科目:高中数学 来源:2015-2016学年吉林省扶余市高二上学期期中考试文科数学试卷(解析版) 题型:选择题

在△ABC中,周长为7.5cm,且sinA:sinB:sinC=4:5:6,下列结论:

其中成立的个数是( )

A.0个 B.1个 C.2个 D.3

查看答案和解析>>

科目:高中数学 来源:2015-2016学年山东省临沂市高二上期中模拟理数学试卷(解析版) 题型:选择题

,则( )

A. B.

C. D.

查看答案和解析>>

科目:高中数学 来源:2015-2016学年江西省等三校高二上第一次联考数学试卷(解析版) 题型:选择题

若a>0,b<0,c<0,则直线ax+by+c=0必不通过( )

A.第一象限 B.第二象限 C.第三象限 D.第四象限

查看答案和解析>>

科目:高中数学 来源:2015-2016学年江西省赣州市十三县高二上期中联考理科数学试卷(解析版) 题型:解答题

(本题12分)

已知数列的前项和为,向量,满足条件

(1)求数列的通项公式;

(2)设函数,数列满足条件

①求数列的通项公式;

②设,求数列的前项和

查看答案和解析>>

科目:高中数学 来源:2015-2016学年湖南省高一上学期期中考试数学试卷(解析版) 题型:选择题

函数的值为 ( )

A.-1 B.-3 C.0 D.-8

查看答案和解析>>

科目:高中数学 来源:2015-2016学年湖北省宜昌市高二上期中理科数学试卷(解析版) 题型:解答题

(12分)某人去开会,他乘火车、轮船、汽车、飞机去的概率分别为0.3,0.2,0.1,0.4.

(1)求他乘火车或乘飞机去的概率;

(2)求他不乘飞机去的概率;

(3)若他去的概率为0.5,请问他有可能是乘何种交通工具去的?

查看答案和解析>>

科目:高中数学 来源:2015-2016学年广东省普宁市高二上期中理科数学试卷(解析版) 题型:填空题

某几何体的三视图如图所示,其正视图是边长为2的正方形,侧视图和俯视图都是等腰直角三角形,则此几何体的体积是

查看答案和解析>>

科目:高中数学 来源:2016届辽宁省抚顺市高三上学期第一次模拟文科数学试卷(解析版) 题型:选择题

已知函数=( )

A. B. C. D.

查看答案和解析>>

同步练习册答案