精英家教网 > 高中数学 > 题目详情

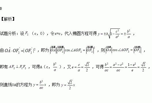
已知分别是椭圆的左、右焦点,是椭圆上位于第一象限内的一点,为坐标原点,,若椭圆的离心率等于,则直线的方程是( )

A. B. C. D.

练习册系列答案
相关习题

科目:高中数学 来源:2017届河南息县第一高级中学高三上阶段测三数学(文)试卷(解析版) 题型:选择题

如图是一个由两个半圆锥与一个长方体组合而成的几何体的三视图,则该几何体的体积为( )

A. B. C. D.

查看答案和解析>>

科目:高中数学 来源:2017届河北衡水中学高三上学期一调考试数学(理)试卷(解析版) 题型:填空题

函数在区间上有两个零点,则的取值范围是_________.

查看答案和解析>>

科目:高中数学 来源:2015-2016学年辽宁瓦房店市高二下期末数学(文)试卷(解析版) 题型:解答题

已知函数

(1)求曲线在点处的切线方程;

(2)当时,成立,求实数的取值范围.

查看答案和解析>>

科目:高中数学 来源:2015-2016学年辽宁瓦房店市高二下期末数学(文)试卷(解析版) 题型:填空题

等比数列的各项均为正数,且,则_____.

查看答案和解析>>

科目:高中数学 来源:2015-2016学年辽宁瓦房店市高二下期末数学(文)试卷(解析版) 题型:选择题

《张丘建算经》是我国古代内容极为丰富的数学名著,书中有如下问题:“今有女不善织,日减功迟,初日织五尺,末日织一尺,今三十织迄,问织几何.”其意思为:有个女子不善于织布,每天比前一天少织同样多的布,第一天织五尺,最后一天织一尺,三十天织完,问三十天共织布( )

A.30尺 B.90尺 C.150尺 D.180尺

查看答案和解析>>

科目:高中数学 来源:2015-2016学年辽宁瓦房店市高二下期末数学(理)试卷(解析版) 题型:解答题

已知函数

(1)求曲线在点处的切线方程;

(2)当时,成立,求实数的取值范围.

查看答案和解析>>

科目:高中数学 来源:2015-2016学年辽宁瓦房店市高二下期末数学(理)试卷(解析版) 题型:选择题

《张丘建算经》是我国古代内容极为丰富的数学名著,书中有如下问题:“今有女不善织,日减功迟,初日织五尺,末日织一尺,今三十织迄,问织几何.”其意思为:有个女子不善于织布,每天比前一天少织同样多的布,第一天织五尺,最后一天织一尺,三十天织完,问三十天共织布( )

A.30尺 B.90尺 C.150尺 D.180尺

查看答案和解析>>

科目:高中数学 来源:2015-2016学年辽宁省协作校高二下期末数学(理)试卷(解析版) 题型:选择题

由1,2,3,0组成没有重复数字的三位数,其中0不在个位上,则这些三位数的和为 ( )

A.1320 B.1332 C.2532 D.2544

查看答案和解析>>

同步练习册答案