精英家教网 > 高中数学 > 题目详情
设F1,F2分别是椭圆的左、右焦点,过F1斜率为1的直线?与E相交于A,B两点,且|AF2|,|AB|,|BF2|成等差数列.
(1)求E的离心率;
(2)设点P(0,-1)满足|PA|=|PB|,求E的方程
【答案】分析:(I)根据椭圆的饿定义可 值|AF2|+|BF2|+|AB|=4a,进而根据|AF2|,|AB|,|BF2|成等差数表示出|AB|,进而可知直线l的方程,设A(x1,y1),B(x2,y2),代入直线和椭圆方程,联立消去y,根据韦达定理表示出x1+x2和x1x2进而根据,求得a和b的关系,进而求得a和c的关系,离心率可得.
(II)设AB的中点为N(x,y),根据(1)则可分别表示出x和y,根据|PA|=|PB|,推知直线PN的斜率,根据求得c,进而求得a和b,椭圆的方程可得.
解答:解:(I)由椭圆定义知|AF2|+|BF2|+|AB|=4a,又2|AB|=|AF2|+|BF2|,
l的方程为y=x+c,其中
设A(x1,y1),B(x2,y2),则A、B两点坐标满足方程组
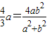
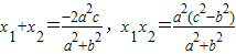
化简的(a2+b2)x2+2a2cx+a2(c2-b2)=0

因为直线AB斜率为1,得,故a2=2b2
所以E的离心率
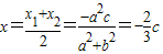
(II)设AB的中点为N(x,y),由(I)知
由|PA|=|PB|,得kPN=-1,

得c=3,从而
故椭圆E的方程为
点评:本题主要考查圆锥曲线中的椭圆性质以及直线与椭圆的位置关系,涉及等差数列知识,考查利用方程思想解决几何问题的能力及运算能力
练习册系列答案
相关习题

科目:高中数学 来源: 题型:

已知椭圆
x2
a2
+
y2
b2
=1(a>b>0)
短轴长为2,P(x0,y0)(x0≠±a)是椭圆上一点,A,B分别是椭圆的左、右顶点,直线PA,PB的斜率之积为-
1
4

(1)求椭圆的方程;
(2)当∠F1PF2为钝角时,求P点横坐标的取值范围;
(3)设F1,F2分别是椭圆的左右焦点,M、N是椭圆右准线l上的两个点,若
F1M
F2N
=0
,求MN的最小值.

查看答案和解析>>

科目:高中数学 来源: 题型:

(09年丰台区二模)(14分)

设F1、F2分别是椭圆的左、右焦点。

   (I)若M是该椭圆上的一个动点,求的最大值和最小值;

    (II)设过定点(0,2)的直线l与椭圆交于不同两点A、B,且∠AOB为钝角(其中O为坐标原点),求直线l的斜率k的取值范围。

查看答案和解析>>

科目:高中数学 来源: 题型:

设F1、F2分别是椭圆的左、右焦点,P为椭圆上任一点,点M的坐标为(6,4),则|PM|+|PF1|的最大值为          .

查看答案和解析>>

科目:高中数学 来源:2009年上海市南汇区高考数学二模试卷(文科)(解析版) 题型:解答题

设F1、F2分别是椭圆的左、右焦点,其右焦点是直线y=x-1与x轴的交点,短轴的长是焦距的2倍.
(1)求椭圆的方程;
(2)若P是该椭圆上的一个动点,求的最大值和最小值;
(3)若P是该椭圆上的一个动点,点A(5,0),求线段AP中点M的轨迹方程.

查看答案和解析>>

科目:高中数学 来源:2011-2012学年广东省广州市高三上学期第3次月考理科数学试卷(解析版) 题型:填空题

设F1、F2分别是椭圆的左、右焦点,P为椭圆上任一点,点M的坐标为(6,4),则|PM|+|PF1|的最大值为                   .

 

查看答案和解析>>

同步练习册答案