精英家教网 > 高中数学 > 题目详情

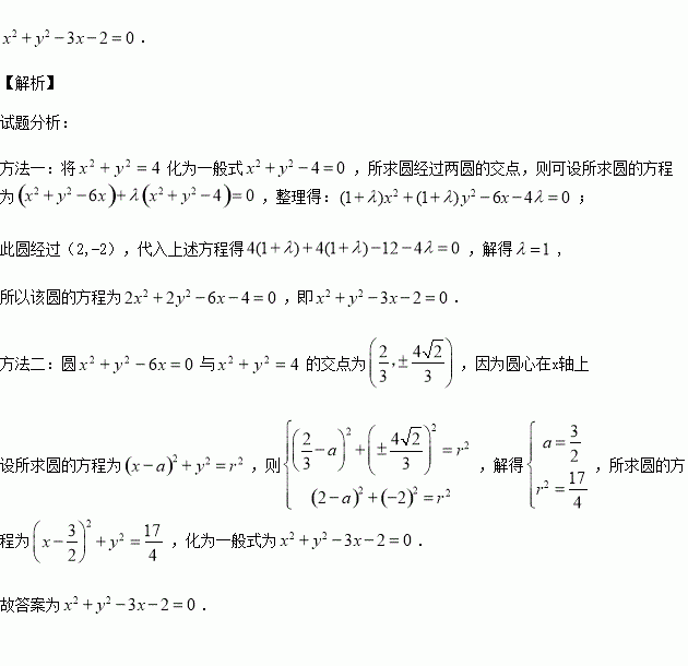
求经过点M(2、-2)以及圆交点的圆的方程_ _.

练习册系列答案
相关习题

科目:高中数学 来源:2015-2016学年广东中山一中高二下期中理科数学试卷(解析版) 题型:解答题

已知.经计算得.

(1)由上面数据,试猜想出一个一般性结论;

(2)用数学归纳法证明你的猜想.

查看答案和解析>>

科目:高中数学 来源:2016届黑龙江哈尔滨六中高三下四模考试文科数学试卷(解析版) 题型:解答题

选修4-4:坐标系与参数方程

在平面直角坐标系中,椭圆的参数方程为为参数),已知以坐标原点为极点,轴的正半轴为极轴建立极坐标系,射线的极坐标方程为).

(注:本题限定:

(1)把椭圆的参数方程化为极坐标方程;

(2)设射线与椭圆相交于点,然后再把射线逆时针,得到射线与椭圆相交于点,试确定是否为定值,若为定值求出此定值,若不为定值请说明理由.

查看答案和解析>>

科目:高中数学 来源:2016届黑龙江哈尔滨六中高三下四模考试文科数学试卷(解析版) 题型:选择题

已知等差数列中,,若,则数列的前5项和等于( )

A.90 B.45 C.30 D.186

查看答案和解析>>

科目:高中数学 来源:2015-2016学年福建省高一下学期第一次月考数学试卷(解析版) 题型:解答题

已知圆C:x2+y2+2x-4y+1=0,O为坐标原点,动点P在圆C外,过P作圆C的切线,设切点为M.

(1)若点P运动到(1,3)处,求此时切线l的方程;

(2)求满足条件|PM|=|PO|的点P的轨迹方程.

查看答案和解析>>

科目:高中数学 来源:2015-2016学年福建省高一下学期第一次月考数学试卷(解析版) 题型:选择题

给出以下一个算法的程序框图(如图所示),该程序框图的功能是( )

A.求输出a,b,c三数的最大数 B.求输出a,b,c三数的最小数

C.将a,b,c按从小到大排列 D.将a,b,c按从大到小排列

查看答案和解析>>

科目:高中数学 来源:2015-2016学年福建省高一下学期第一次月考数学试卷(解析版) 题型:选择题

直线2x-y=7与直线3x+2y-7=0的交点是( )

A.(3,-1) B.(-1,3) C.(-3,-1) D.(3,1)

查看答案和解析>>

科目:高中数学 来源:2015-2016学年山西省高二3月月考文科数学试卷(解析版) 题型:选择题

曲线在点(1,0)处的切线方程为( )

(A) (B)

(C) (D)

查看答案和解析>>

科目:高中数学 来源:2015-2016学年甘肃省嘉峪关市高二上学期期末文科数学试卷(解析版) 题型:选择题

设抛物线的焦点为,过点的直线与抛物线相交于两点,与抛物线的准线相交于点,则( )

A. 1: 4 B. 1: 5 C. 1: 7 D. 1: 6

查看答案和解析>>

同步练习册答案