精英家教网 > 高中数学 > 题目详情

选修4-4:坐标系与参数方程

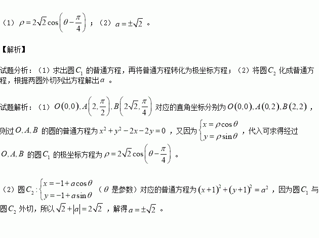
在极坐标系中,已知三点

(1)求经过的圆的极坐标方程;

(2)以极点为坐标原点,极轴为轴的正半轴建立平面直角 坐标系,圆的参数方程为是参数),若圆与圆外切,求实数的值。

练习册系列答案
相关习题

科目:高中数学 来源:2016届江西省萍乡市高三下学期第二次模拟考试数学(理)试卷(解析版) 题型:解答题

选修4-4:坐标系与参数方程

在直角坐标系中,以原点为极点,以轴正半轴为极轴建立极坐标系,由曲线上的点按坐标变换得到曲线

(1)求曲线的极坐标方程;

(2)若射线与曲线的交点分别为点,求

查看答案和解析>>

科目:高中数学 来源:2015-2016学年广东省等校高一下期末数学试卷(解析版) 题型:选择题

一元二次不等式的解集是,则的解集是( )

A.

B.

C.

D.

查看答案和解析>>

科目:高中数学 来源:2016届湖南省湘西自治州高三第二次质量检测数学(文)试卷(解析版) 题型:选择题

已知椭圆的左右焦点分别为,过点且斜率为的直线交直线,若在以线段为直径的圆上,则椭圆的离心率为( )

A. B. C. D.

查看答案和解析>>

科目:高中数学 来源:2016届湖南省湘西自治州高三第二次质量检测数学(文)试卷(解析版) 题型:选择题

已知函数的最小正周期为,则等于( )

A. B. C. D.

查看答案和解析>>

科目:高中数学 来源:2016届湖南省湘西自治州高三第二次质量检测数学(理)试卷(解析版) 题型:解答题

某技术公司新开发了两种新产品,其质量按测试指标划分为:指标大于或等于82为正品,小于82为次品,现随机抽取这两种产品各100件进行检测,检测结果统计如下:

测试指标

产品

8

12

40

32

8

产品

7

18

40

29

6

(1)试分别估计产品,产品为正品的概率;

(2)生产一件产品,若是正品可盈利80元,次品则亏损10元;生产一件产品,若是正品可盈利100元,次品则亏损20元,在(1)的前提下,记为生产1件产品和1件产品所得的总利润,求随机变量的分列和数学期望。

查看答案和解析>>

科目:高中数学 来源:2016届湖南省湘西自治州高三第二次质量检测数学(理)试卷(解析版) 题型:选择题

已知椭圆)的左右焦点分别为,过点且斜率为的直线交直线,若在以线段为直径的圆上,则椭圆的离心率为( )

A. B. C. D.

查看答案和解析>>

科目:高中数学 来源:2015-2016学年灵宝市高二下学期第一次月清考试数学(理)试卷 题型:填空题

的各位数字之和,如142+1=197,1+9+7=17,则;记,则

查看答案和解析>>

科目:高中数学 来源:2015-2016学年四川省实验学校高一下学期期中考试数学试卷(解析版) 题型:解答题

已知向量,且

(1)求

(2)若是钝角,是锐角,且,求的值。

查看答案和解析>>

同步练习册答案