精英家教网 > 高中数学 > 题目详情

利用定积分定义计算

答案:1/4#0.25
解析:

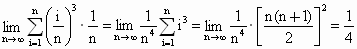
(1)分割

(2)求和

(因为连续,所以可随意取而不影响极限,故我们此处将取为的右端点也无妨.)

(3)取极限

此处用到了求和公式

因此


提示:

解析:这里的被积函数显然是连续函数.现按定义中包含的几个步骤来求


练习册系列答案
相关习题

科目:高中数学 来源:同步题 题型:计算题

利用定积分定义计算

查看答案和解析>>

科目:高中数学 来源: 题型:

利用定积分的定义,计算的值.?

      

查看答案和解析>>

科目:高中数学 来源: 题型:

利用定积分的定义,计算的值.

查看答案和解析>>

科目:高中数学 来源: 题型:

利用定积分的定义计算的值.

查看答案和解析>>

同步练习册答案