精英家教网 > 高中数学 > 题目详情
已知:f(x)=ax2+(b-8)x-a-ab,当x∈(-3,2)时,f(x)>0;x∈(-∞,-3)∪(2,+∞)时,f(x)<0。
(1)求y=f(x)的解析式;
(2)c为何值时,ax2+bx+c≤0的解集为R。
解:(1)由x∈(-3,2)时,f(x)>0;x∈(-∞,-3)∪(2,+∞)时,f(x)<0,
易知:-3,2是是方程的两根,


(2)由a<0,知二次函数的图象开口向下,
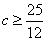
要使的解集为R,只需△≤0,即
∴当时,的解集为R。
练习册系列答案
相关习题

科目:高中数学 来源: 题型:

已知函数f(x)=
ax-2(x≤4)
x2-3ax+75(x>4)
,若递增数列{an}满足an=f(n),则实数a的取值范围为(  )
A、(-∞,5)
B、(1,5)
C、(-20,5)
D、(1,
11
3

查看答案和解析>>

科目:高中数学 来源: 题型:

已知函数f(x)=ax-
3
2
x2
的最大值不大于
1
6
,又当x∈[
1
4
1
2
]时,f(x)≥
1
8
.

(1)求a的值;
(2)设0<a1
1
2
an+1=f(an),n∈N+
.证明an
1
n+1
.

查看答案和解析>>

科目:高中数学 来源: 题型:

已知函数f(x)=ax+
1x3
,其中a∈R.
(I)求证:函数f(x)为奇函数;
(II)若a=3,求函数f(x)的极值.

查看答案和解析>>

科目:高中数学 来源: 题型:

已知函数f(x)=
ax-1ax+1
(a>0且a≠1)
(1)求f(x)的定义域和值域
(2)判断f(x)的奇偶性,并证明;
(3)当a>1时,若对任意实数m,不等式f(m2+km)+f(k-m-1)>0恒成立,求实数k的取值范围.

查看答案和解析>>

科目:高中数学 来源: 题型:

已知函数f(x)=
ax+bx2+1
图象在x=1处的切线方程为2y-1=0.
(Ⅰ) 求函数f(x)的极值;
(Ⅱ)若△ABC的三个顶点(B在A、C之间)在曲线y=f(x)+ln(x-1)(x>1)上,试探究f(2sin2A+sin2C)f(2sin2B)的大小关系,并说明理由.

查看答案和解析>>

同步练习册答案