精英家教网 > 高中数学 > 题目详情

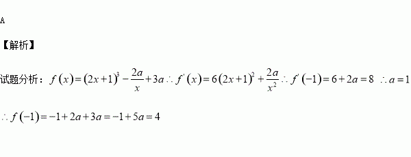
已知,若,则

A.4 B.5 C. D.

练习册系列答案
相关习题

科目:高中数学 来源:2014-2015学年上海市高二下学期期末考试数学试卷(解析版) 题型:填空题

若五个人排成一排,则甲乙两人之间仅有一人的概率是 .(结果用数值表示)

查看答案和解析>>

科目:高中数学 来源:2015-2016学年湖南省高一上学期期中考试数学试卷(解析版) 题型:解答题

已知全集,集合

(1)用列举法表示集合A与B;

(2)求

查看答案和解析>>

科目:高中数学 来源:2015-2016学年河北省邢台市高二上第一次月考数学试卷(解析版) 题型:填空题

若某几何体的三视图如下图所示,则此几何体的体积是

查看答案和解析>>

科目:高中数学 来源:2015-2016学年广东省普宁市高二上期中文科数学试卷(解析版) 题型:选择题

为等差数列的前项和,,则= ( )

A. B. C. D.2

查看答案和解析>>

科目:高中数学 来源:2016届重庆市高三上学期第三次月考文科数学试卷(解析版) 题型:选择题

已知某几何体的三视图如右图所示,则该几何体的体积是( )

A. B. C. D.

查看答案和解析>>

科目:高中数学 来源:2016届重庆市高三上学期第三次月考理科数学试卷(解析版) 题型:选择题

已知满足约束条件则目标函数的最大值为( )

A.1 B.3 C. D.

查看答案和解析>>

科目:高中数学 来源:2016届辽宁省葫芦岛市高三上学期期中文科数学试卷(解析版) 题型:选择题

”是“直线在坐标轴上截距相等”的( )条件.

A.充分必要条件 B.充分不必要条件

C.必要不充分条件 D.既不充分也不必要条件

查看答案和解析>>

科目:高中数学 来源:2015-2016学年江西南昌二中高二上学期期中理科数学试卷(解析版) 题型:解答题

(本小题满分12分)如图,椭圆)和圆,已知圆将椭圆的长轴三等分,且圆的面积为.椭圆的下顶点为,过坐标原点且与坐标轴不重合的任意直线与圆相交于点,直线与椭圆的另一个交点分别是点

(1)求椭圆的方程;

(2)(Ⅰ)设的斜率为,直线斜率为,求的值;

(Ⅱ)求△面积最大时直线的方程.

查看答案和解析>>

同步练习册答案