精英家教网 > 高中数学 > 题目详情

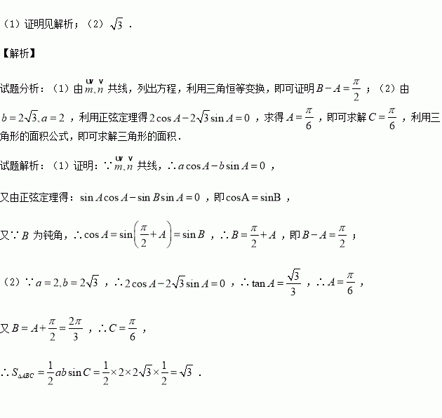
的内角所对的边分别为,已知向量,若共线,且为钝角.

(1)证明:

(2)若,求的面积.

练习册系列答案
相关习题

科目:高中数学 来源:2015-2016学年河北武邑中学高二下4.24周考理数学卷(解析版) 题型:解答题

“低碳经济”是促进社会可持续发展的推进器,某企业现有万资金可用于投资,如果投资“传统型”经济项目,一年后可能获利%,可能损失%,也可能不赔不赚,这三种情况发生的概率分别是,如果投资“低碳型”经济项目,一年后可能获利%,也可能损失%,这两种情况发生的概率分别是(其中).

(1)如果把万投资“传统型”经济项目,用表示投资收益(投资收益=回收资金-投资资金),求的概率分布及均值(数学期望)

(2)如果把万投资“低碳型”经济项目,预测其投资收益均值会不低于投资“传统型”经济项目的投资收益均值,求的取值范围.

查看答案和解析>>

科目:高中数学 来源:2015-2016学年河北石家庄一中高二下第二次月考文数学卷(解析版) 题型:选择题

已知集合,集合,则( )

A. B. C. D.

查看答案和解析>>

科目:高中数学 来源:2015-2016学年河北石家庄一中高二下第二次月考理数学卷(解析版) 题型:选择题

某产品的广告费用与销售额的统计数据如表

已知由表中4组数据求得回归直线方程 ,则表中的的值为( )

A.37 B.38 C.39 D.40

查看答案和解析>>

科目:高中数学 来源:2015-2016学年重庆市高一下期中文科数学试卷(解析版) 题型:填空题

中,角的对边成等差数列,且,则________.

查看答案和解析>>

科目:高中数学 来源:2015-2016学年重庆市高一下期中文科数学试卷(解析版) 题型:填空题

为等比数列的前项和,若,则___________.

查看答案和解析>>

科目:高中数学 来源:2015-2016学年重庆市高一下期中文科数学试卷(解析版) 题型:选择题

中,点在边上,,若,则( )

A. B. C. D.

查看答案和解析>>

科目:高中数学 来源:2015-2016学年重庆市高一下期中理科数学试卷(解析版) 题型:填空题

中,内角所对的边分别为,已知,如果这样的三角形有且只有一个,则的取值范围为________.

查看答案和解析>>

科目:高中数学 来源:2015-2016学年重庆市高二下期中理科数学试卷(解析版) 题型:解答题

已知椭圆轴的交点(点位于点的上方),为左焦点,原点到直线的距离为.

(1)求椭圆的离心率;

(2)设,直线与椭圆交于不同的两点,求证:直线与直线的交点在定直线上.

查看答案和解析>>

同步练习册答案