精英家教网 > 高中数学 > 题目详情

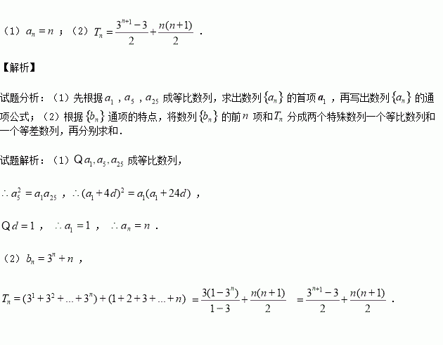
已知是公差为1的等差数列,,,成等比数列.

(1)求数列的通项公式;

(2)设,求数列的前项和

练习册系列答案
相关习题

科目:高中数学 来源:2016年甘肃省兰州市高三实战考试文科数学试卷(解析版) 题型:解答题

如图,在四棱锥中,侧面底面,底面为矩形,的中点,.

(1)求证:

(2)若与平面所成的角为,求四棱锥的的体积.

查看答案和解析>>

科目:高中数学 来源:2016年甘肃省兰州市高三实战考试理科数学试卷(解析版) 题型:选择题

在复平面内,复数满足是虚数单位),则对应的点在( )

A.第一象限 B.第二象限 C.第三象限 D.第四象限

查看答案和解析>>

科目:高中数学 来源:2015-2016学年内蒙古赤峰二中高二上第二次月考文数学卷(解析版) 题型:选择题

函数有极值的充要条件是 ( )

A. B. C. D.

查看答案和解析>>

科目:高中数学 来源:2015-2016学年重庆十八中高一下期中文科数学试卷(解析版) 题型:解答题

已知数列的前n项和为,且

(1)求的通项公式;

(2)设,若集合恰有5个元素,求实数的取值范围.

查看答案和解析>>

科目:高中数学 来源:2015-2016学年重庆十八中高一下期中文科数学试卷(解析版) 题型:选择题

已知实数,且,则的最小值为( )

A. B. C. D.

查看答案和解析>>

科目:高中数学 来源:2015-2016学年重庆十八中高一下期中文科数学试卷(解析版) 题型:选择题

不等式的解集为( )

A. B.

C. D.

查看答案和解析>>

科目:高中数学 来源:2016届海南省高三高考模拟三理科数学试卷(解析版) 题型:选择题

已知分别是双曲线的左,右焦点,过引圆的切线交双曲线的右支于点为切点,为线段的中点,为坐标原点,则( )

A.1 B.2 C.3 D.4

查看答案和解析>>

科目:高中数学 来源:2016届黑龙江省高三下四模理科数学试卷(解析版) 题型:解答题

已知三棱柱,底面三角形为正三角形,侧棱底面的中点,中点.

(1)求证:直线平面

(2)求平面和平面所成的锐二面角的余弦值.

查看答案和解析>>

同步练习册答案