精英家教网 > 高中数学 > 题目详情

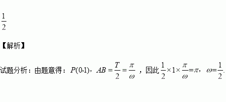
已知函数的图象与y轴交于P,与x轴的相邻两个交点记为A,B,若△PAB的面积等于π,则ω=________.

练习册系列答案
相关习题

科目:高中数学 来源:2014-2015学年东北三省等三校高三第一次模拟理科数学试卷(解析版) 题型:选择题

下列命题中正确命题的个数是( )

①对于命题,使得,则,均有

②p是q的必要不充分条件,则的充分不必要条件;

③命题“若,则”的逆否命题为真命题;

④“”是“直线与直线垂直”的充要条件.

A.1个 B.2个 C.3个 D.4个

查看答案和解析>>

科目:高中数学 来源:2014-2015学年广西河池市高二下学期期末理科数学试卷(解析版) 题型:解答题

设函数

(1)判断函数上的单调性;

(2)证明:对任意正数a,存在正数x,使不等式成立.

查看答案和解析>>

科目:高中数学 来源:2016届重庆市高三10月月考理科数学试卷(解析版) 题型:选择题

若直线与直线互相垂直,那么a的值等于( )

A.1 B. C. D.

查看答案和解析>>

科目:高中数学 来源:2016届山东省高三上学期开学考试理科数学试卷(解析版) 题型:填空题

已知函数f(x)=x3+ax2+bx(a,b∈R)的图象如图所示,它与直线在原点处相切,此切线与函数图象所围区域(图中阴影部分)的面积为,则a的值为________.

查看答案和解析>>

科目:高中数学 来源:2016届宁夏银川市高三上学期统练二理科数学试卷(解析版) 题型:解答题

(本小题满分12分)已知函数为常数,为自然对数的底数)是实数集上的奇函数,函数在区间上是减函数.

(1)求实数的值;

(2)若上恒成立,求实数的取值范围;

(3)讨论关于的方程的根的个数.

查看答案和解析>>

科目:高中数学 来源:2016届江西省高三上学期第一次考试理科数学试卷(解析版) 题型:填空题

已知函数的导函数为,且满足,则

查看答案和解析>>

科目:高中数学 来源:2016届湖北省高三9月调考文科数学试卷(解析版) 题型:选择题

已知偶函数在区间[0,+∞)上单调递增,则满足的x的取值范围是( )

A. B. C. D.

查看答案和解析>>

科目:高中数学 来源:2016届河北省高三上第二次月考理科数学试卷A(解析版) 题型:解答题

(本小题满分12分)设函数

(1)若函数处有极值,求函数的最大值;

(2)①是否存在实数,使得关于的不等式上恒成立?若存在,求出的取值范围;若不存在,说明理由;

②证明:不等式

查看答案和解析>>

同步练习册答案