精英家教网 > 高中数学 > 题目详情

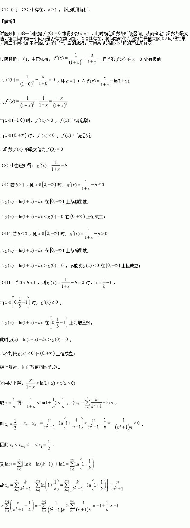
(本小题满分12分)设函数

(1)若函数处有极值,求函数的最大值;

(2)①是否存在实数,使得关于的不等式上恒成立?若存在,求出的取值范围;若不存在,说明理由;

②证明:不等式

练习册系列答案
相关习题

科目:高中数学 来源:2016届宁夏银川市高三上学期统练二文科数学试卷(解析版) 题型:填空题

已知函数的图象与y轴交于P,与x轴的相邻两个交点记为A,B,若△PAB的面积等于π,则ω=________.

查看答案和解析>>

科目:高中数学 来源:2016届湖北省等高三9月联考理科数学试卷(解析版) 题型:选择题

已知函数,若 的导函数,则函数在原点附近的图象

大致是

查看答案和解析>>

科目:高中数学 来源:2016届河北省高三上第二次月考文科数学试卷B(解析版) 题型:选择题

已知向量平行,则实数的值是( )

A.-2 B.0 C.2 D.1

查看答案和解析>>

科目:高中数学 来源:2016届河北省高三上第二次月考理科数学试卷B(解析版) 题型:解答题

(本小题满分12分)已知函数

(1)若为函数的极值点,求实数的值;

(2)若时,方程有实数根,求实数的取值范围.

查看答案和解析>>

科目:高中数学 来源:2016届河北省高三上第二次月考理科数学试卷A(解析版) 题型:选择题

已知函数是函数的导函数,则的图象大致是( )

查看答案和解析>>

科目:高中数学 来源:2016届福建省四地六校高三上学期10月联考理科数学试卷(解析版) 题型:解答题

(本题满分12分)设函数

(1)若,求取值范围;

(2)求的最值,并给出最值时对应的的值.

查看答案和解析>>

科目:高中数学 来源:2016届辽宁省五校协作体高三上学期期初考试文科数学试卷(解析版) 题型:解答题

(本小题满分10分)选修4-4:坐标系与参数方程

已知在直角坐标系中,直线的参数方程为,(为参数),以坐标原点为极点,轴的正半轴为极轴建立极坐标系,曲线的极坐标方程为

(Ⅰ)求直线的普通方程和曲线的直角坐标方程;

(Ⅱ)设点是曲线上的一个动点,求它到直线的距离的取值范围.

查看答案和解析>>

科目:高中数学 来源:2016届河北省高三上第二次月考理科数学A卷(解析版) 题型:选择题

已知函数是函数的导函数,则的图象大致是( )

查看答案和解析>>

同步练习册答案