精英家教网 > 高中数学 > 题目详情

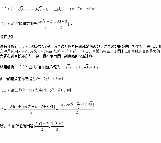
(本小题满分10分)选修4-4:坐标系与参数方程

已知在直角坐标系中,直线的参数方程为,(为参数),以坐标原点为极点,轴的正半轴为极轴建立极坐标系,曲线的极坐标方程为

(Ⅰ)求直线的普通方程和曲线的直角坐标方程;

(Ⅱ)设点是曲线上的一个动点,求它到直线的距离的取值范围.

练习册系列答案
相关习题

科目:高中数学 来源:2016届湖北省高三9月调考文科数学试卷(解析版) 题型:选择题

已知偶函数在区间[0,+∞)上单调递增,则满足的x的取值范围是( )

A. B. C. D.

查看答案和解析>>

科目:高中数学 来源:2016届河北省高三上第二次月考理科数学试卷A(解析版) 题型:解答题

(本小题满分12分)设函数

(1)若函数处有极值,求函数的最大值;

(2)①是否存在实数,使得关于的不等式上恒成立?若存在,求出的取值范围;若不存在,说明理由;

②证明:不等式

查看答案和解析>>

科目:高中数学 来源:2016届福建省四地六校高三上学期10月联考理科数学试卷(解析版) 题型:选择题

命题“若α=,则tanα=1”的逆否命题是( )

A.若α≠,则tanα≠1

B.若α=,则tanα≠1

C.若tanα≠1,则α=

D.若tanα≠1,则α≠

查看答案和解析>>

科目:高中数学 来源:2013-2014学年辽宁省高考前最后模拟理科数学试卷(解析版) 题型:解答题

(本小题满分12分)已知函数,其中是实数,设为该函数图象上的两点,且

(1)若函数的图象在点处的切线互相垂直,且,求的取值范围;

(2)若时,的图象在点处的切线重合,求的取值范围.

(注:函数的导函数是,其中

查看答案和解析>>

科目:高中数学 来源:2016届辽宁省五校协作体高三上学期期初考试文科数学试卷(解析版) 题型:选择题

已知数列{an}的通项公式an=log2(n∈N*),设{an}的前n项和为Sn,则使Sn<-5成立的自然数n( )

A.有最大值63 B.有最小值63

C.有最大值31 D.有最小值31

查看答案和解析>>

科目:高中数学 来源:2015-2016学年福建省分校高一上学期第一次月考数学卷(解析版) 题型:解答题

(本小题满分12分)函数f(x)=4x2-4ax+a2-2a+2,其中 [0,2]

(1)当时,求函数在给定区间上的最值;

(2)若在给定区间上的有最小值3,求a的值.

查看答案和解析>>

科目:高中数学 来源:2016届河北省高三上第二次月考文科数学A卷(解析版) 题型:选择题

的值是 ( )

A. B.

C.2 D.

查看答案和解析>>

科目:高中数学 来源:2015-2016学年湖南师大附中高二上第一次段测文科数学卷(解析版) 题型:选择题

圆心为且过原点的圆的方程是( )

A.

B.

C.

D.

查看答案和解析>>

同步练习册答案