精英家教网 > 高中数学 > 题目详情

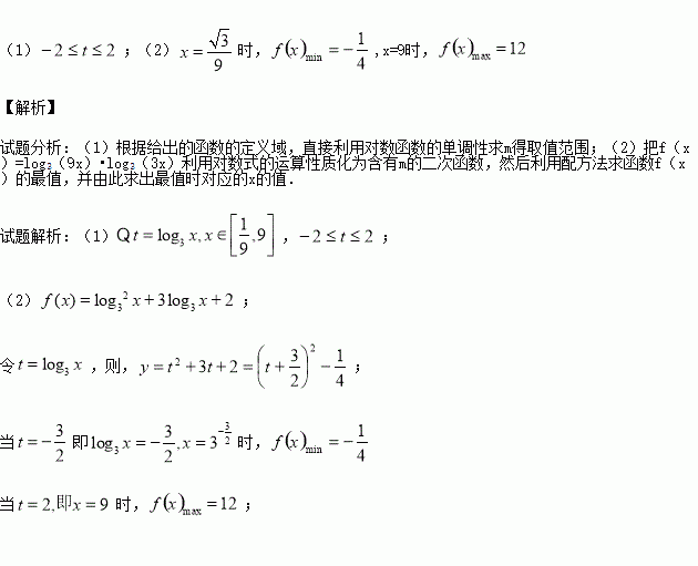
(本题满分12分)设函数

(1)若,求取值范围;

(2)求的最值,并给出最值时对应的的值.

练习册系列答案
相关习题

科目:高中数学 来源:2016届江西省高三上学期第一次考试理科数学试卷(解析版) 题型:填空题

已知函数的导函数为,且满足,则

查看答案和解析>>

科目:高中数学 来源:2016届黑龙江省高三第一段考理科数学试卷(解析版) 题型:选择题

设集合,则等于( )

A. B. C. D.

查看答案和解析>>

科目:高中数学 来源:2016届河北省高三上第二次月考理科数学试卷A(解析版) 题型:解答题

(本小题满分12分)设函数

(1)若函数处有极值,求函数的最大值;

(2)①是否存在实数,使得关于的不等式上恒成立?若存在,求出的取值范围;若不存在,说明理由;

②证明:不等式

查看答案和解析>>

科目:高中数学 来源:2016届福建省四地六校高三上学期10月联考文科数学试卷(解析版) 题型:解答题

(本小题满分12分)已知函数f(x)=log3

(1)求函数f(x)的定义域.

(2)判断函数f(x)的奇偶性.

(3)当x∈时,函数g(x)=f(x),求函数g(x)的值域.

查看答案和解析>>

科目:高中数学 来源:2016届福建省四地六校高三上学期10月联考理科数学试卷(解析版) 题型:选择题

命题“若α=,则tanα=1”的逆否命题是( )

A.若α≠,则tanα≠1

B.若α=,则tanα≠1

C.若tanα≠1,则α=

D.若tanα≠1,则α≠

查看答案和解析>>

科目:高中数学 来源:2013-2014学年辽宁省高考前最后模拟理科数学试卷(解析版) 题型:解答题

(本小题满分12分)已知函数,其中是实数,设为该函数图象上的两点,且

(1)若函数的图象在点处的切线互相垂直,且,求的取值范围;

(2)若时,的图象在点处的切线重合,求的取值范围.

(注:函数的导函数是,其中

查看答案和解析>>

科目:高中数学 来源:2015-2016学年福建省分校高一上学期第一次月考数学卷(解析版) 题型:解答题

(本小题满分12分)函数f(x)=4x2-4ax+a2-2a+2,其中 [0,2]

(1)当时,求函数在给定区间上的最值;

(2)若在给定区间上的有最小值3,求a的值.

查看答案和解析>>

科目:高中数学 来源:2015-2016学年辽宁省高二上10月月考数学试卷(解析版) 题型:解答题

设数列的前项和为,已知

(Ⅰ)求数列的通项公式;

(Ⅱ)若数列满足,数列的前项和为.求

查看答案和解析>>

同步练习册答案