精英家教网 > 高中数学 > 题目详情
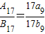
若两个等差数列{an}、{bn}的前n项和分别为An、Bn,且满足,则的值为( )
A.
B.
C.
D.
【答案】分析:==,而=,代入已知条件即可算出.
解答:解:由题设知,
=,所以=
所以===
故选D.
点评:本题考查等差数列的前n项和公式、通项公式及等差数列的性质,在等差数列{{an}中,若m+n=p+q=2k,(k,m,n,p,q∈N*),则am+an=ap+aq=2ak;n为奇数时,Sn=na,a为中间项;
练习册系列答案
相关习题

科目:高中数学 来源: 题型:

若两个等差数列{an}和{bn}的前n项和分别是Sn和Tn,已知
Sn
Tn
=
7n
n+3
,则
a5
b5
=(  )
A、7
B、
2
3
C、
27
8
D、
21
4

查看答案和解析>>

科目:高中数学 来源: 题型:

若两个等差数列{an}和{bn}的前n项和分别为Sn和Tn,且满足
Sn
Tn
=
7n+1
n+3
,则
a2+a5+a17+a22
b8+b10+b12+b16
=
31
5
31
5

查看答案和解析>>

科目:高中数学 来源: 题型:

若两个等差数列{an}、{bn}的前n项和分别为An、Bn,且满足
An
Bn
=
4n+2
5n-5
,则
a5+a13
b5+b13
的值为(  )

查看答案和解析>>

科目:高中数学 来源: 题型:

若两个等差数列{an},{bn}的前n项和分别Sn,Tn且满足
Sn
Tn
=
3n+2
4n-5
,则
a5
b5
=
29
31
29
31

查看答案和解析>>

科目:高中数学 来源:2010-2011学年黑龙江省哈尔滨九中高三(上)期末数学试卷(理科)(解析版) 题型:选择题

若两个等差数列{an}和{bn}的前n项和分别是Sn和Tn,已知,则=( )
A.7
B.
C.
D.

查看答案和解析>>

同步练习册答案