精英家教网 > 高中数学 > 题目详情

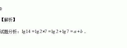
已知,则( )

A. B. C. D.

练习册系列答案
相关习题

科目:高中数学 来源:2016届安徽省高三下组卷二理科数学试卷(解析版) 题型:填空题

已知是两个互相垂直的单位向量,且,则对任意实数的最小值为____________.

查看答案和解析>>

科目:高中数学 来源:2015-2016学年贵州贵阳六中高二下期中理科数学试卷(解析版) 题型:填空题

5位刚毕业的研究生,分到4个单位工作,每个单位至少一人,不同的分法总数为 .(用数字作答)

查看答案和解析>>

科目:高中数学 来源:2015-2016学年贵州贵阳六中高二下期中理科数学试卷(解析版) 题型:选择题

数列的公差为2,若成等比数列,则等于( )

A.-4 B.-6 C.-8 D.-10

查看答案和解析>>

科目:高中数学 来源:2015-2016学年贵州贵阳六中高二下期中理科数学试卷(解析版) 题型:选择题

在空间中,已知是直线,是平面,且,则的位置关系是( )

A.平行 B.相交 C.异面 D.平行或异面

查看答案和解析>>

科目:高中数学 来源:2015-2016学年贵州贵阳六中高二下期中理科数学试卷(解析版) 题型:选择题

的值是( )

A. B. C. D.

查看答案和解析>>

科目:高中数学 来源:2015-2016学年四川绵阳南山中学高二下期中文科数学卷(解析版) 题型:解答题

实数满足,其中,命题实数 满足

(1)若为真,求实数的取值范围;

(2)若的充分不必要条件,求实数的取值范围.

查看答案和解析>>

科目:高中数学 来源:2015-2016学年四川绵阳南山中学高二下期中文科数学卷(解析版) 题型:选择题

命题“若”的逆命题是( )

A.若 B.若 C.若 D.若

查看答案和解析>>

科目:高中数学 来源:2015-2016学年福建省高二下周练文科数学试卷(解析版) 题型:选择题

设集合是两个集合,①;②;③.则上述对应法则中,能构成的映射的个数是( )

A. B. C. D.

查看答案和解析>>

同步练习册答案