精英家教网 > 高中数学 > 题目详情
已知线段AB的端点B的坐标是(4,3),端点A在圆(x+1)2+y2=4上运动,求线段AB的中点M的轨迹方程。
解:设点M的坐标为(x,y),点A的坐标为(x0,y0
由于点B的坐标是(4,3),且点M是线段AB的中点,
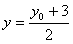
所以
于是有 ①
因为点A在圆上运动,所以点A的坐标满足方程
 ②
把①代入②得
整理得
所以,点M的轨迹方程为
练习册系列答案
相关习题

科目:高中数学 来源: 题型:

精英家教网已知线段AB的端点B的坐标是(4,3),端点A在圆(x+1)2+y2=4上运动,求线段AB的中点轨迹方程.

查看答案和解析>>

科目:高中数学 来源: 题型:

精英家教网已知线段AB的端点B的坐标为(4,3),端点A在圆(x+1)2+y2=4上运动,求线段AB的中点M的轨迹方程,并说明M的轨迹是什么图形.

查看答案和解析>>

科目:高中数学 来源: 题型:

已知线段AB的端点B的坐标为(1,3),端点A在圆C:(x+1)2+y2=4上运动.
(1)求线段AB的中点M的轨迹;
(2)过B点的直线L与圆C有两个交点A,D.当CA⊥CD时,求L的斜率.

查看答案和解析>>

科目:高中数学 来源: 题型:

已知线段AB的端点B的坐标是(3,4),端点A在圆(x+2)2+(y-1)2=2上运动,则线段AB的中点M的轨迹方程是
(2x-1)2+(2y-5)2=2
(2x-1)2+(2y-5)2=2

查看答案和解析>>

科目:高中数学 来源: 题型:

已知线段AB的端点B的坐标是(-1,0),端点A在圆(x-7)2+y2=16上运动,
(1)求线段AB中点M的轨迹方程;
(2)点C(2,a),若过点C且在两坐标轴上截距相等的直线与圆相切,求a的值及切线方程.

查看答案和解析>>

同步练习册答案