精英家教网 > 高中数学 > 题目详情

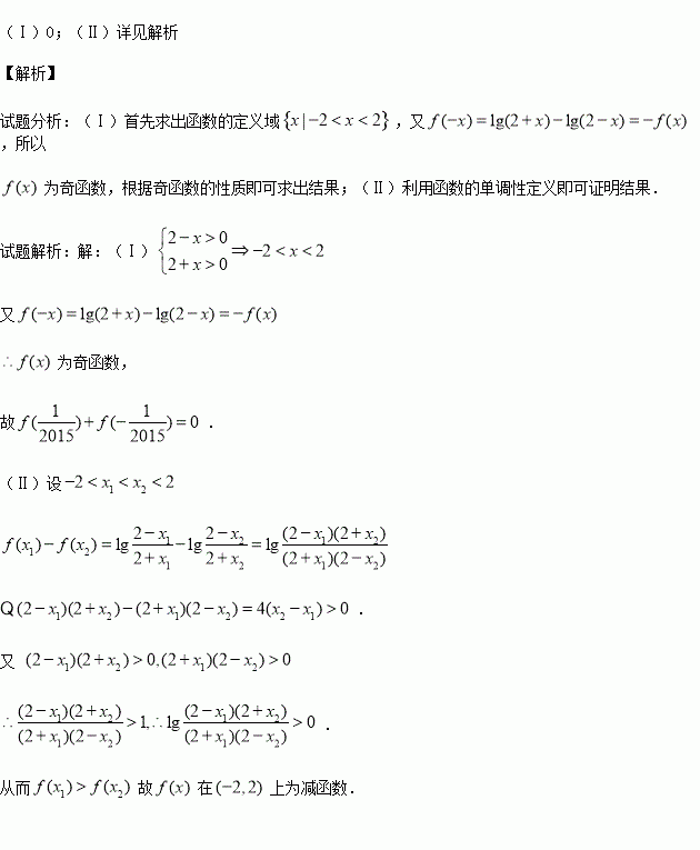
已知函数

(Ⅰ)求值:

(Ⅱ)判断函数的单调性并用定义证明.

练习册系列答案
相关习题

科目:高中数学 来源:2016届宁夏吴忠中学高三上第四次月考文科数学试卷(解析版) 题型:填空题

函数)的图象恒过定点,若点在直线上,其中,则的最小值为

查看答案和解析>>

科目:高中数学 来源:2015-2016学年山东省高一上学期期中考试数试卷(解析版) 题型:选择题

若方程在区间,且)上有一根,则的值为( )

A. B. C. D.

查看答案和解析>>

科目:高中数学 来源:2015-2016学年黑龙江哈尔滨师大附中高二上期中文数学卷(解析版) 题型:选择题

若直线与直线互相垂直,那么的值等于( )

A.1 B. C. D.

查看答案和解析>>

科目:高中数学 来源:2015-2016学年河北省高一上学期期中数学试卷(解析版) 题型:解答题

已知角终边上一点

(1)求实数的值;

(2)求的值.

查看答案和解析>>

科目:高中数学 来源:2015-2016学年广东汕头市高二10月月考数学卷(解析版) 题型:解答题

已知数列是各项均为正数的等差数列,其中,且成等比数列;数列的前项和为,满足

(1)求数列的通项公式;

(2)如果,设数列的前项和为,求证:

查看答案和解析>>

科目:高中数学 来源:2015-2016学年陕西省西安市高一上学期期中考试数学试卷(解析版) 题型:填空题

若幂函数的图象过点,则

查看答案和解析>>

科目:高中数学 来源:2015-2016学年陕西省西安市高二上学期期中考试文科数学试卷(解析版) 题型:选择题

已知a>0,b>0,则+2的最小值是( )

A.2 B.2 C.4 D.5

查看答案和解析>>

科目:高中数学 来源:2016届贵州省高三5月高考模拟理科数学试卷(解析版) 题型:选择题

已知是函数的两个零点,若,则( )

A. B.

C. D.

查看答案和解析>>

同步练习册答案