精英家教网 > 高中数学 > 题目详情

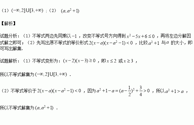
求下列关于实数的不等式的解集:

(1);(1)

(2)

练习册系列答案
相关习题

科目:高中数学 来源:2015-2016学年重庆巴蜀中学高二下期中文科数学试卷(解析版) 题型:解答题

已知函数,曲线在点处的切线平行于轴.

(1)求的单调区间;

(2)证明:当时,恒成立.

查看答案和解析>>

科目:高中数学 来源:2015-2016学年重庆巴蜀中学高二下期中理科数学试卷(解析版) 题型:选择题

最小二乘法的原理是使得( )最小

A. B.

C. D.

查看答案和解析>>

科目:高中数学 来源:2015-2016学年福建上杭一中高二下培优补差理科数学试卷(解析版) 题型:选择题

除以9所得余数是( )

A.0 B.8 C.-1 D.1

查看答案和解析>>

科目:高中数学 来源:2015-2016学年湖北省高一下期中数学试卷(解析版) 题型:解答题

若数列的前项和满足:,记.

(1)求数列的通项公式;

(2)若,,求证:

(3)记,求的值.(注:[x]表示不超过x的最大整数,例:[2.1]=2,[-1.3]=-2)

查看答案和解析>>

科目:高中数学 来源:2015-2016学年湖北省高一下期中数学试卷(解析版) 题型:选择题

己知等差数列的公差,且成等比数列,若为数列的前项和,则的最小值为( )

A. B. C. D.

查看答案和解析>>

科目:高中数学 来源:2015-2016学年湖北省高一下期中数学试卷(解析版) 题型:选择题

已知数列首项,则( )

A. B. C. D.

查看答案和解析>>

科目:高中数学 来源:2015-2016学年新疆兵团农二师华山中学高二下学前考试理科数学试卷(解析版) 题型:选择题

已知方程+=1表示焦点在y轴上的椭圆,则m的取值范围是( )

A.m<-1或1<m< B.1<m<2

C.m<-1或1<m<2 D.m<2

查看答案和解析>>

科目:高中数学 来源:2015-2016学年福建省晋江市高二上学期期末文科数学试卷(解析版) 题型:填空题

设等差数列的前项和为是方程的两个根,

查看答案和解析>>

同步练习册答案