精英家教网 > 高中数学 > 题目详情

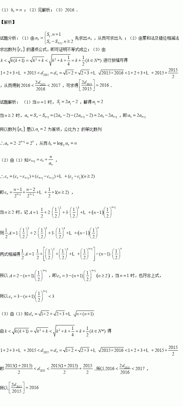
若数列的前项和满足:,记.

(1)求数列的通项公式;

(2)若,,求证:

(3)记,求的值.(注:[x]表示不超过x的最大整数,例:[2.1]=2,[-1.3]=-2)

练习册系列答案
相关习题

科目:高中数学 来源:2015-2016学年重庆一中高一下学期期中数学试卷(解析版) 题型:选择题

不等式的解集为( )

A. B.

C. D.

查看答案和解析>>

科目:高中数学 来源:2015-2016学年重庆巴蜀中学高二下期中理科数学试卷(解析版) 题型:选择题

现有种不同的颜色为公民基本道德规范四个主题词(如图) 涂色,要求相邻的词语涂不同颜色,则不同的涂法种数为( )

A. B. C. D.

查看答案和解析>>

科目:高中数学 来源:2015-2016学年福建上杭一中高二下培优补差理科数学试卷(解析版) 题型:选择题

设函数,记,若函数至少存在一个零点,则实数的取值范围是( )

A. B.

C. D.

查看答案和解析>>

科目:高中数学 来源:2015-2016学年福建上杭一中高二下培优补差理科数学试卷(解析版) 题型:选择题

已知,推测( )

A.109 B.1033 C.199 D.299

查看答案和解析>>

科目:高中数学 来源:2015-2016学年湖北省高一下期中数学试卷(解析版) 题型:解答题

求下列关于实数的不等式的解集:

(1);(1)

(2)

查看答案和解析>>

科目:高中数学 来源:2015-2016学年湖北省高一下期中数学试卷(解析版) 题型:选择题

设实数满足约束条件,若目标函数)的最大值为,则的最小值为( )

A. B. C. D.

查看答案和解析>>

科目:高中数学 来源:2015-2016学年新疆兵团农二师华山中学高二下学前考试理科数学试卷(解析版) 题型:填空题

从3台甲型彩电和2台乙型彩电中任取3台,其中两种品牌的彩电齐全的概率是________.

查看答案和解析>>

科目:高中数学 来源:2015-2016学年福建省晋江市高二上学期期末文科数学试卷(解析版) 题型:解答题

已知命题,命题

(Ⅰ)写出命题的否定

(Ⅱ)若为真命题,求实数的取值范围。

查看答案和解析>>

同步练习册答案