精英家教网 > 高中数学 > 题目详情

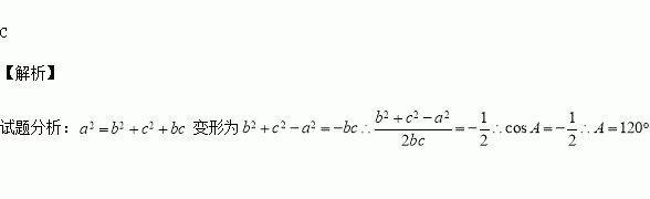
在△ABC 中, ,则A等于( )

A.60° B.45° C.120° D.30°

练习册系列答案
相关习题

科目:高中数学 来源:2015-2016学年江西省南昌市高一上学期第一次月考数学试卷(解析版) 题型:解答题

已知函数

(Ⅰ)当时,求函数的值域;

(Ⅱ)若集合,求实数的取值范围.

查看答案和解析>>

科目:高中数学 来源:2016届山东省高三第二次诊断性考试理科数学试卷(解析版) 题型:填空题

若函数的最大值为4,最小值为,则实数的值为

查看答案和解析>>

科目:高中数学 来源:2015-2016学年浙江省宁波市高一上期中数学试卷(解析版) 题型:选择题

下列各组函数中,表示同一函数的是( )

A. B.

C. D.

查看答案和解析>>

科目:高中数学 来源:2015-2016学年广西桂林中学高二上期中考试文科数学试卷(解析版) 题型:解答题

(12分)已知等差数列满足;数列的前n项和为,且满足

(Ⅰ)分别求数列的通项公式;

(Ⅱ)若对任意的恒成立,求实数k的取值范围.

查看答案和解析>>

科目:高中数学 来源:2015-2016学年辽宁省大连市高二10月月考数学试卷(解析版) 题型:选择题

已知长方形中,的中点,则在此长方形内随机取一点的距离小于的概率为 ( )

A. B. C. D.

查看答案和解析>>

科目:高中数学 来源:2015-2016学年湖北省枣阳市高二10月月考理科数学试卷(解析版) 题型:选择题

若某程序框图如图所示,则该程序运行后输出的B等于 ( )

A. B. C. D.

查看答案和解析>>

科目:高中数学 来源:2015-2016学年广东省英德市高二上学期第一次月考理科数学试卷(解析版) 题型:解答题

(本题满分12分)

(1)当时,求的解集

(2)解不等式:

查看答案和解析>>

科目:高中数学 来源:2015-2016学年四川成都市六校高一上学期期中联考数学试卷(解析版) 题型:选择题

函数的图象是( )

查看答案和解析>>

同步练习册答案