精英家教网 > 高中数学 > 题目详情

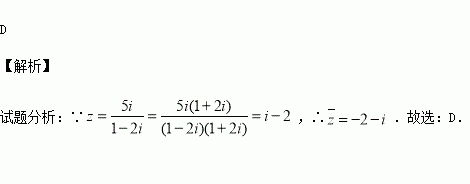
复数(i为虚数单位)的共轭复数等于( )

A.﹣1﹣2i B.1+2i C.2﹣i D.﹣2﹣i

练习册系列答案
相关习题

科目:高中数学 来源:2016届吉林省长春市高三质量监测文科数学试卷(解析版) 题型:选择题

中, ,,则的面积为( )

A. B. C. D.

查看答案和解析>>

科目:高中数学 来源:2014-2015学年山东省高二下学期期末理科数学试卷(解析版) 题型:选择题

已知随机变量ξ服从正态分布.若ξ在(0,1)内取值的概率为0.4,则ξ在(0,2)内取值的概率为( )

A.0.8 B.0.6 C.0.5 D.0.4

查看答案和解析>>

科目:高中数学 来源:2014-2015学年湖北省宜昌市高二下学期期末文科数学试卷(解析版) 题型:选择题

与圆的位置关系是( )

A.相离 B.相交 C.外切 D.内切

查看答案和解析>>

科目:高中数学 来源:2014-2015学年河南省三门峡市高一下学期模拟考试数学试卷(解析版) 题型:选择题

在等差数列{an}中,若,则等于( )

A.16 B.18 C.20 D.22

查看答案和解析>>

科目:高中数学 来源:2016届重庆市高三10月月考文科数学试卷(解析版) 题型:选择题

“0<a<4”是“命题‘?x∈R,不等式x2+ax+a≥0成立’为真命题”的 ( )

A、充分不必要条件 B、必要不充分条件

C、充要条件 D、既不充分也不必要条件

查看答案和解析>>

科目:高中数学 来源:2016届山东省高三上学期开学考试文科数学试卷(解析版) 题型:解答题

(本小题满分12分)已知函数的定义域为,若对于任意的,都有,且当时,有

(Ⅰ)证明:为奇函数;

(Ⅱ)判断上的单调性,并证明;

(Ⅲ)设,若)对恒成立,求实数的取值范围.

查看答案和解析>>

科目:高中数学 来源:2016届宁夏银川市高三上学期统练二理科数学试卷(解析版) 题型:解答题

(本小题满分12分)f(x)=,其中向量=(m,cos2x),=(1+sin2x,1),,且函数 的图象经过点

(Ⅰ)求实数的值.

(Ⅱ)求函数的最小值及此时值的集合。

查看答案和解析>>

科目:高中数学 来源:2016届黑龙江省高三第一段考文科数学试卷(解析版) 题型:选择题

时,不等式恒成立,则实数a的取值范围是( )

A. B. C. D. [来

查看答案和解析>>

同步练习册答案