精英家教网 > 高中数学 > 题目详情

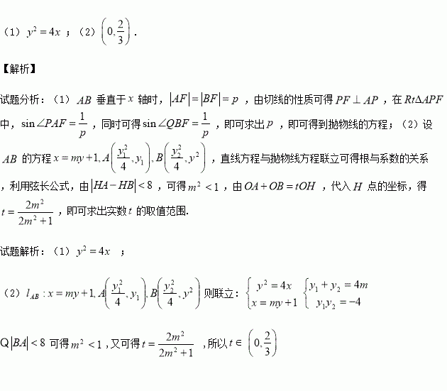
已知抛物线,过焦点作动直线交两点,过分别作圆的两条切线,切点分别为,若垂直于轴时,.

(1)求抛物线方程;

(2)若点也在曲线上,为坐标原点,且,求实数的取值范围.

练习册系列答案
相关习题

科目:高中数学 来源:2015-2016学年重庆十八中高一下期中文科数学试卷(解析版) 题型:解答题

中,分别是角的对边,且

(1)求角的大小;

(2)若,求的值.

查看答案和解析>>

科目:高中数学 来源:2016届海南省高三高考模拟三理科数学试卷(解析版) 题型:选择题

为虚数单位,复数,则的共轭复数在复平面中对应的点在( )

A.第一象限 B.第二象限 C.第三象限 D.第四象限

查看答案和解析>>

科目:高中数学 来源:2016届海南省高三高考模拟三文科数学试卷(解析版) 题型:选择题

已知为等比数列,是它的前项和,若,且的等差中项为,则( )

A.29 B.30 C.31 D.33

查看答案和解析>>

科目:高中数学 来源:2016届海南省高三高考模拟三文科数学试卷(解析版) 题型:选择题

已知集合,则的子集共有( )

A.16个 B.8个 C.4个 D.2个

查看答案和解析>>

科目:高中数学 来源:2016届黑龙江省高三下四模理科数学试卷(解析版) 题型:填空题

已知变量满足约束条件,则的最大值为_________.

查看答案和解析>>

科目:高中数学 来源:2016届黑龙江省高三下四模理科数学试卷(解析版) 题型:选择题

下列命题中正确命题的个数是( )

(1)设随机变量服从正态分布,若,则

(2)在区间上随机取一个数,则事件“”发生的概率为

(3)两个随机变量的线性相关性越强,则相关系数越接近1;

(4),则的最小正周期是.

A.0个 B.1个 C.2个 D.3个

查看答案和解析>>

科目:高中数学 来源:2015-2016学年重庆八中高一下期中数学试卷(解析版) 题型:填空题

若数列是等差数列,则

查看答案和解析>>

科目:高中数学 来源:2016届山东省高三最后一模理科数学试卷(解析版) 题型:填空题

是双曲线的左、右焦点,是双曲线右支上一点,满足为坐标原点),且,则双曲线的离心率为_______.

查看答案和解析>>

同步练习册答案