精英家教网 > 高中数学 > 题目详情

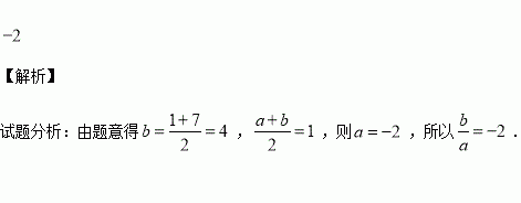
若数列是等差数列,则

练习册系列答案
相关习题

科目:高中数学 来源:2016届海南省高三高考模拟三理科数学试卷(解析版) 题型:填空题

若实数满足不等式组,则目标函数的最大值为___________.

查看答案和解析>>

科目:高中数学 来源:2016届黑龙江省高三下四模理科数学试卷(解析版) 题型:解答题

已知抛物线,过焦点作动直线交两点,过分别作圆的两条切线,切点分别为,若垂直于轴时,.

(1)求抛物线方程;

(2)若点也在曲线上,为坐标原点,且,求实数的取值范围.

查看答案和解析>>

科目:高中数学 来源:2016届黑龙江省高三下四模理科数学试卷(解析版) 题型:选择题

已知幂函数图像的一部分如下图,且过点,则图中阴影部分的面积等于( )

A. B. C. D.

查看答案和解析>>

科目:高中数学 来源:2015-2016学年重庆八中高一下期中数学试卷(解析版) 题型:解答题

已知平面内三个向量:

(Ⅰ)若,求实数的值;

(Ⅱ)设,且满足,,求.

查看答案和解析>>

科目:高中数学 来源:2015-2016学年重庆八中高一下期中数学试卷(解析版) 题型:选择题

若等差数列的前项和,则的最小值为( )

A. B.8 C.6 D.7

查看答案和解析>>

科目:高中数学 来源:2015-2016学年重庆八中高一下期中数学试卷(解析版) 题型:选择题

在数列中,=( )

A.11 B.12 C.13 D.14

查看答案和解析>>

科目:高中数学 来源:2016届山东省高三最后一模文科数学试卷(解析版) 题型:选择题

“牟合方盖”是我国古代数学家刘徽在研究球的体积的过程中构造的一个和谐优美的几何体.它由完全相同的四个曲面构成,相对的两个曲面在同一个圆柱的侧面上,好似两个扣合(牟合)在一起的方形伞(方盖).其直观图如下左图,图中四边形是为体现其直观性所作的辅助线.当其主视图和左视图完全相同时,它的俯视图可能是()

查看答案和解析>>

科目:高中数学 来源:2015-2016学年江西玉山一中高一下第三次考试文科数学卷(解析版) 题型:选择题

直线3x﹣4y﹣4=0被圆x2+y2﹣6x=0截得的弦长为( )

A. B.4 C. D.2

查看答案和解析>>

同步练习册答案