精英家教网 > 高中数学 > 题目详情

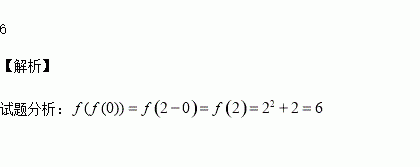
已知函数,则的值为

练习册系列答案
相关习题

科目:高中数学 来源:2016届贵州省高三上学期第三次月考理科数学试卷(解析版) 题型:选择题

中,为边的三等分点,则( )

A. B. C. D.

查看答案和解析>>

科目:高中数学 来源:2015-2016学年黑龙江哈尔滨师大附中高二上期中理数学卷(解析版) 题型:填空题

满足约束条件,则的最大值为____________.

查看答案和解析>>

科目:高中数学 来源:2015-2016学年广东汕头市高二10月月考数学卷(解析版) 题型:解答题

(Ⅰ)求的单调区间;

(Ⅱ)在锐角中,角的对边分别为,若,求面积的最大值.

查看答案和解析>>

科目:高中数学 来源:2015-2016学年陕西省西安市高一上学期期中考试数学试卷(解析版) 题型:选择题

上的奇函数,,当时,,则等于 ( )

(A)0.5 (B) (C)1.5 (D)

查看答案和解析>>

科目:高中数学 来源:2015-2016学年吉林省扶余市高一上学期期中考试数学试卷(解析版) 题型:选择题

设a=,b=,c=,则( )

A.a<b<c B.c<a<b

C.b<c<a D.b<a<c

查看答案和解析>>

科目:高中数学 来源:2015-2016学年陕西省西安市高二上学期期中考试文科数学试卷(解析版) 题型:选择题

已知数列{an}的首项为1,并且对任意n∈N+都有an>0.设其前n项和为Sn,若以(an,Sn)(n∈N+)为坐标的点在曲线y=x(x+1)上运动,则数列{an}的通项公式为( )

A.an=n2+1 B.an=n2 C.an=n+1 D.an=n

查看答案和解析>>

科目:高中数学 来源:2016届江西省高三上学期第三次考试文科数学试卷(解析版) 题型:解答题

已知函数

(Ⅰ)当时,求曲线处的切线方程;

(Ⅱ)设函数,求函数的单调区间;

(Ⅲ)若,在上存在一点,使得成立,求的取值范围.

查看答案和解析>>

科目:高中数学 来源:2015-2016学年安徽师大附中高二上学期期中理科数学试卷(解析版) 题型:选择题

已知椭圆(a>5)的两个焦点为F1、F2,且|F1F2|=8,弦AB过点F1,则△ABF2的周长为( )

A.10 B.20 C. D.

查看答案和解析>>

同步练习册答案