精英家教网 > 高中数学 > 题目详情

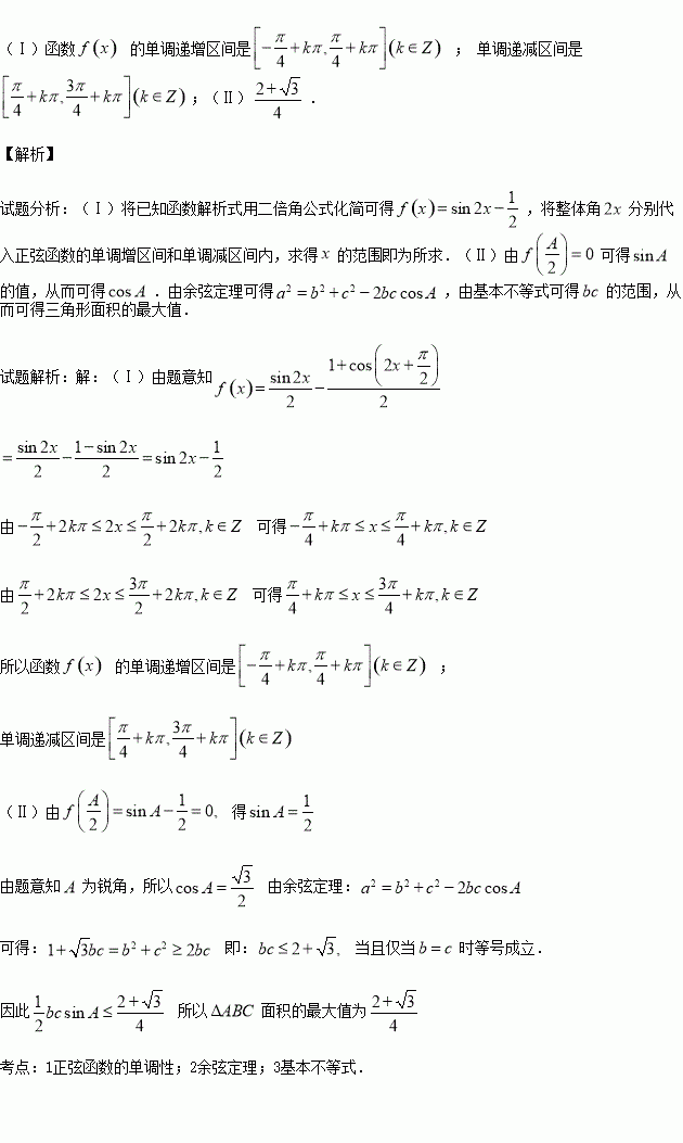
(Ⅰ)求的单调区间;

(Ⅱ)在锐角中,角的对边分别为,若,求面积的最大值.

练习册系列答案
相关习题

科目:高中数学 来源:2016届江西省高三上第三次考试理科数学试卷(解析版) 题型:选择题

如图所示,点A,B,C是圆O上三点,线段OC与线段AB交于圆内一点M,若

,则的最小值为( )

A. B. C. D.

查看答案和解析>>

科目:高中数学 来源:2015-2016学年湖南衡阳八中高二上学期期中文科数学试卷(解析版) 题型:解答题

某食品厂定期收购面粉,已知该厂每天需要面粉6吨,每吨面粉的价格为1800元,面粉的保管等其他费用为平均每吨每天3元,购买面粉每次需支付运费900元.

(1)求该厂多少天购买一次面粉,才能使平均每天所支付的总费用最少?

(2)若提供面粉的公司规定:当一次购买面粉不少于210吨时,其价格可享受9折优惠(即原价的90%),问该厂是否考虑利用此优惠条件?请说明理由.

查看答案和解析>>

科目:高中数学 来源:2015-2016学年河北省高一上学期期中数学试卷(解析版) 题型:解答题

某化工厂生产的一种溶液,若初时含杂质2%,每过滤一次可使杂质含量减少.(已知:

(1)求杂质含量与过滤次数的函数关系式;

(2)按市场要求,杂质含量不能超过0.1%.问至少应过滤几次才能使产品达到市场要求?

查看答案和解析>>

科目:高中数学 来源:2015-2016学年河北石家庄二中高一上学期期中数学试卷(解析版) 题型:填空题

如果函数的定义域为,那么

查看答案和解析>>

科目:高中数学 来源:2015-2016学年陕西省西安市高一上学期期中考试数学试卷(解析版) 题型:填空题

已知函数,且

查看答案和解析>>

科目:高中数学 来源:2015-2016学年江苏省高邮市高一上学期期中调研数学试卷(解析版) 题型:填空题

已知函数,则的值为

查看答案和解析>>

科目:高中数学 来源:2015-2016学年河南省英文学校高二上学期期中考试数学试卷(解析版) 题型:选择题

已知不等式的解集是,则不等式的解集是( )

A. B.(-∞,2)∪(3,+∞)

C.(2,3) D.

查看答案和解析>>

科目:高中数学 来源:2015-2016学年贵州遵义航天高中高二上学期期中数学试卷(解析版) 题型:填空题

表示三条不同的直线,表示平面,给出下列命题:

①若

②若

③若

其中真命题的序号是:_______ .

查看答案和解析>>

同步练习册答案