精英家教网 > 高中数学 > 题目详情

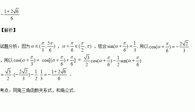
已知,则 _________.

练习册系列答案
相关习题

科目:高中数学 来源:2014-2015学年湖北省宜昌市高二下学期期末文科数学试卷(解析版) 题型:选择题

如果复数满足条件,那么实数a的取值范围是( )

A. B. C. D.

查看答案和解析>>

科目:高中数学 来源:2016届宁夏银川市高三上学期统练二理科数学试卷(解析版) 题型:填空题

已知函数的图象与y轴交于P,与x轴的相邻两个交点记为A,B,若△PAB的面积等于π,则ω=________.

查看答案和解析>>

科目:高中数学 来源:2016届吉林省高三上学期第一次模拟理科数学试卷(解析版) 题型:解答题

(本小题满分12分)四边形的内角与内角互补,

(Ⅰ)求角的大小及线段长;

(Ⅱ)求四边形的面积.

查看答案和解析>>

科目:高中数学 来源:2016届湖北省高三9月调考文科数学试卷(解析版) 题型:选择题

根据下列情况,判断三角形解的情况,其中正确的是 ( )

A.a=8,b=16,A=30°,有两解

B.b=18,c=20,B=60°,有一解

C.a=5,c=2,A=90°,无解

D.a=30,b=25,A=150°,有一解

查看答案和解析>>

科目:高中数学 来源:2016届湖北省等高三9月联考理科数学试卷(解析版) 题型:填空题

计算=_______________.

查看答案和解析>>

科目:高中数学 来源:2016届黑龙江省高三第一段考文科数学试卷(解析版) 题型:选择题

已知满足约束条件,若的最大值为4,则=( )

A.3 B.2 C.-2 D.-3

查看答案和解析>>

科目:高中数学 来源:2016届河北省高三上第二次月考文科数学试卷A(解析版) 题型:选择题

下列函数中,以为最小正周期的偶函数是( )

A.y=sin2x+cos2x

B.y=sin2xcos2x

C.y=cos(4x+

D.y=sin22x﹣cos22x

查看答案和解析>>

科目:高中数学 来源:2016届辽宁省五校协作体高三上学期期初考试理科数学试卷(解析版) 题型:解答题

(本小题满分10分)选修4-4:坐标系与参数方程

已知在直角坐标系中,直线的参数方程为,(为参数),以坐标原点为极点,轴的正半轴为极轴建立极坐标系,曲线的极坐标方程为

(Ⅰ)求直线的普通方程和曲线的直角坐标方程;

(Ⅱ)设点是曲线上的一个动点,求它到直线的距离的取值范围.

查看答案和解析>>

同步练习册答案