精英家教网 > 高中数学 > 题目详情

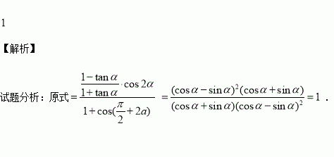
计算=_______________.

练习册系列答案
相关习题

科目:高中数学 来源:2014-2015学年河南省三门峡市高一下学期模拟考试数学试卷(解析版) 题型:选择题

不等式的解集为( )

A. B. C. D.

查看答案和解析>>

科目:高中数学 来源:2016届江西省高三上学期第一次考试理科数学试卷(解析版) 题型:解答题

(本小题满分12分)

中,内角的对边分别为,面积为,已知

(Ⅰ)求的值;

(Ⅱ)若,求

查看答案和解析>>

科目:高中数学 来源:2016届湖北省高三9月调考文科数学试卷(解析版) 题型:解答题

(本小题满分12分)据气象中心观察和预测:发生于M地的沙尘暴一直向正南方向移动,其移动速度v(km/h)与时间t(h)的函数图象如图所示.过线段OC上一点T(t,0)作横轴的垂线l,梯形OABC在直线l左侧部分的面积即为t(h)内沙尘暴所经过的路程s(km).

(1)当t=4时,求s的值;

(2)将s随t变化的规律用数学关系式表示出来;

(3)若N城位于M地正南方向,且距M地650 km,试判断这场沙尘暴是否会侵袭到N城,如果会,在沙尘暴发生后多长时间它将侵袭到N城?如果不会,请说明理由.

查看答案和解析>>

科目:高中数学 来源:2016届湖北省等高三9月联考文科数学试卷(解析版) 题型:填空题

已知,则 _________.

查看答案和解析>>

科目:高中数学 来源:2016届黑龙江省高三第一段考文科数学试卷(解析版) 题型:解答题

(本小题满分12分)已知中, 角对边分别为,已知

(1)若的面积等于,求

(2)若,求的面积.

查看答案和解析>>

科目:高中数学 来源:2016届黑龙江省高三第一段考理科数学试卷(解析版) 题型:选择题

已知函数,且,集合,则( )

A.,都有

B.,都有

C.,使得

D.,使得

查看答案和解析>>

科目:高中数学 来源:2016届河北省高三上第二次月考理科数学试卷B(解析版) 题型:选择题

已知,若的必要条件是,则 之间

的关系是( )

A. B. C. D.

查看答案和解析>>

科目:高中数学 来源:2016届辽宁省五校协作体高三上学期期初考试理科数学试卷(解析版) 题型:选择题

平面向量的夹角为60°,( )

A. B. C.4 D.12

查看答案和解析>>

同步练习册答案