精英家教网 > 高中数学 > 题目详情

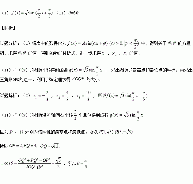
某同学用“五点法”画函数在某一个周期内的图象时,列表并填入的部分数据如下表:

(I)请直接写出上表的,并直接写出函数的解析式;

(II)将的图象沿X轴向右平移个单位得到函数的图象,分别为函数图象的最高点和最低点(如图),求的大小.

练习册系列答案
相关习题

科目:高中数学 来源:2016届贵州省高三5月高考模拟理科数学试卷(解析版) 题型:解答题

根据某水文观测点的历史统计数据,得到某河流水位(单位:米)的频率分布直方图如下:将河流水位在以上6段的频率作为相应段的概率,并假设每年河流水位互不影响.

(Ⅰ)求未来三年,至多有1年河流水位的概率(结果用分数表示);

(Ⅱ)该河流对沿河企业影响如下:当时,不会造成影响;当时,损失10000元;当时,损失60000元,为减少损失,现有三种应对方案:

方案一:防御35米的最高水位,需要工程费用3800元;

方案二:防御不超过31米的水位,需要工程费用2000元;

方案三:不采用措施:试比较哪种方案较好,并说明理由.

查看答案和解析>>

科目:高中数学 来源:2016届河北省高三下学期猜题文科数学试卷(解析版) 题型:选择题

已知全集,集合,则等于( )

A. B. C. D.

查看答案和解析>>

科目:高中数学 来源:2016届河北省高三下学期猜题理科数学试卷(解析版) 题型:选择题

已知数列的首项为,且满足对任意的,都有成立,则( )

A. B. C. D.

查看答案和解析>>

科目:高中数学 来源:2016届河北省高三下学期猜题理科数学试卷(解析版) 题型:选择题

”是“复数(其中是虚数单位)为纯虚数”的( )

A.充分而不必要条件 B.必要而不充分条件

C.充要条件 D.既不充分也不必要条件

查看答案和解析>>

科目:高中数学 来源:2015-2016学年广东仲元中学高二上期末数学试卷(解析版) 题型:填空题

在平面直角坐标系中,角的顶点与原点重合,始边与x轴非负半轴重合,终边过点,则的值为________.

查看答案和解析>>

科目:高中数学 来源:2015-2016学年广东仲元中学高二上期末数学试卷(解析版) 题型:选择题

已知正数组成的等比数列,若,那么的最小值为( )

A. B. C. D.不存在

查看答案和解析>>

科目:高中数学 来源:2015-2016学年福建省高一6月月考数学试卷(解析版) 题型:选择题

设当时,取得最大值,则的值为( )

A. B. C. D.

查看答案和解析>>

科目:高中数学 来源:2016届山西省等四校高三下第四次联考文科数学试卷(解析版) 题型:填空题

函数 ,若存在实数

满足,则的取值范围是 .

查看答案和解析>>

同步练习册答案