精英家教网 > 高中数学 > 题目详情

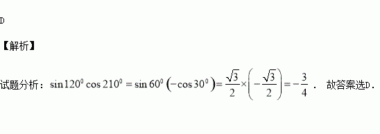
代数式的值为

A. B. C. D.

练习册系列答案
相关习题

科目:高中数学 来源:2015-2016学年江苏省高二上第一次联考数学试卷(解析版) 题型:填空题

已知圆与圆外切,则的值为

查看答案和解析>>

科目:高中数学 来源:2014-2015学年湖北武汉外国语学校高二上学期期中考试文科数学试卷(解析版) 题型:填空题

在平面直角坐标系中,为原点, ,动点满足,则的最大值是

查看答案和解析>>

科目:高中数学 来源:2014-2015学年广东省湛江市高一下学期期末考试数学试卷(解析版) 题型:选择题

掷一枚均匀的硬币,如果连续抛掷1000次,那么第999次出现正面向上的概率是

A. B. C. D.

查看答案和解析>>

科目:高中数学 来源:2014-2015学年山西省高一下期末数学试卷(解析版) 题型:填空题

已知中,角A、B、C所对边分别为,若,则的最小值为

查看答案和解析>>

科目:高中数学 来源:2016届云南省高三适应性月考二文科数学试卷(解析版) 题型:选择题

执行如图所示的程序框图,若输入a=1,则输出的k=( )

A、8 B、9 C、10 D、11

查看答案和解析>>

科目:高中数学 来源:2016届云南省高三适应性月考二理科数学试卷(解析版) 题型:选择题

已知双曲线C:的一条渐近线过点(一1,2),则C的离心率为( )

A. B. C、 D.

查看答案和解析>>

科目:高中数学 来源:2016届宁夏银川一中高三上学期第三次月考文科数学试卷(解析版) 题型:选择题

不等式(1+x)(1-x)>0的解集是 ( )

A.

B.

C.

D.

查看答案和解析>>

科目:高中数学 来源:2016届浙江省瑞安市高三上学期第一次四校联考文科数学试卷(解析版) 题型:填空题

下列函数中,既是偶函数又是区间上的增函数的有 。(填写所有符合条件的序号)

查看答案和解析>>

同步练习册答案