精英家教网 > 高中数学 > 题目详情
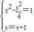
双曲线x2-=1截直线y=x+1所得弦长是   
【答案】分析:联立方程组,可解得该方程组的解,从而得到弦的端点坐标,利用两点间距离公式即可求得弦长.
解答:解:由,得3x2-2x-5=0,解得x=或x=-1,
分别代入直线y=x+1得y=或y=0,
所以弦的端点为(),(-1,0),
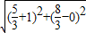
所以弦长为=
故答案为:
点评:本题考查直线与圆锥曲线的位置关系,考查弦长的求解,求弦长常用弦长公式:|AB|=
练习册系列答案
相关习题

科目:高中数学 来源: 题型:

双曲线x2-
y2
4
=1截直线y=x+1所得弦长是
8
2
3
8
2
3

查看答案和解析>>

科目:高中数学 来源: 题型:

(2013•烟台二模)由曲线f(x)=x2-1和直线y=0所围成的封闭图形的面积为
4
3
4
3

查看答案和解析>>

科目:高中数学 来源: 题型:填空题

双曲线x2-数学公式=1截直线y=x+1所得弦长是________.

查看答案和解析>>

科目:高中数学 来源:不详 题型:填空题

双曲线x2-
y2
4
=1截直线y=x+1所得弦长是______.

查看答案和解析>>

同步练习册答案