精英家教网 > 高中数学 > 题目详情

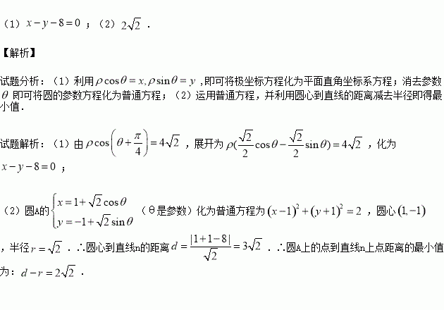
【选修4-2:极坐标与参数方程】已知直线n的极坐标是,圆A的参数方程是(θ是参数)

(1)将直线n的极坐标方程化为普通方程;

(2)求圆A上的点到直线n上点距离的最小值.

练习册系列答案
相关习题

科目:高中数学 来源:2015-2016学年浙江省高一上学期期中数学试卷(解析版) 题型:填空题

已知幂函数过点,则满足的实数的取值范围是

查看答案和解析>>

科目:高中数学 来源:2016届四川省成都市高三11月阶段测试理科数学试卷(解析版) 题型:解答题

已知函数的图象在点处的切线方程为

(1)用表示

(2)若函数上的最大值为2,求实数a的取值范围.

查看答案和解析>>

科目:高中数学 来源:2016届甘肃省高三12月月考文科数学试卷(解析版) 题型:解答题

选修4-4:坐标系与参数方程

已知平面直角坐标系中,以为极点,轴的正半轴为极轴,建立极坐标系,曲线方程为 的参数方程为为参数).

(Ⅰ)写出曲线的直角坐标方程和的普通方程;

(Ⅱ)设点为曲线上的任意一点,求点 到曲线距离的取值范围.

查看答案和解析>>

科目:高中数学 来源:2016届甘肃省高三12月月考理科数学试卷(解析版) 题型:解答题

如图,在四棱锥中,底面为直角梯形,AD‖BC, ,平面⊥底面,Q为AD的中点,M是棱PC上的点,PA=PD=AD=2,BC=1,CD=

(Ⅰ)求证:平面PQB⊥平面PAD;

(Ⅱ)若二面角M-BQ-C为,设PM=tMC,试确定t的值.

查看答案和解析>>

科目:高中数学 来源:2016届福建省高三上学期半期考试理科数学试卷(解析版) 题型:解答题

选修4-5:不等式选讲.

设函数

(Ⅰ)当a=1时,解不等式

(Ⅱ)证明:

查看答案和解析>>

科目:高中数学 来源:2015-2015学年云南省玉溪市高二上学期期中数学试卷(解析版) 题型:填空题

在区间内随机地取出两个数,则的概率是

查看答案和解析>>

科目:高中数学 来源:2015-2016学年山东省济宁市兖州区高一上学期期中考试数学试卷(解析版) 题型:填空题

(log43+log83)(log32+log92)=_________.

查看答案和解析>>

科目:高中数学 来源:2016届福建省高三上学期期中文科数学试卷(解析版) 题型:选择题

若点满足线性约束条件,点为坐标原点,则的最大值为( )

A.0 B.3 C.-6 D.6

查看答案和解析>>

同步练习册答案