精英家教网 > 高中数学 > 题目详情

已知二次函数,且不等式的解集为.

(1)方程有两个相等的实根,求的解析式;

(2)的最小值不大于,求实数的取值范围;

(3)如何取值时,函数存在零点,并求出零点.

 

【答案】

(1);(2)实数的取值范围是;(3)详见解析.

【解析】

试题分析:(1)根据不等式的解集为得到为方程的实根,结合韦达定理确定之间的等量关系以及这一条件,然后利用有两个相等的实根得到,从而求出的值,最终得到函数的解析式;(2)在的条件下,利用二次函数的最值公式求二次函数的最小值,然后利用已知条件列有关参数的不等式,进而求解实数;(3)先求出函数的解析式,对首项系数为零与不为零进行两种情况的分类讨论,在首项系数为零的前提下,直接将代入函数解析式,求处对应的零点;在首项系数不为零的前提下,求出

的符号进行三中情况讨论,从而确定函数的零点个数,并求出相应的零点.

试题解析:(1)由于不等式的解集为

即不等式的解集为

为方程的两根,且

由韦达定理得

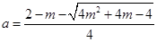
由于方程有两个相等的实根,即方程有两个相等的实根,

由于,解得

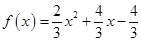
所以

(2)由题意知,,由于,则有

解得,由于,所以,即实数的取值范围是

(3)(※)

①当时,方程为,方程有唯一实根

即函数有唯一零点

②当时,

方程(※)有一解,令

,即

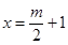
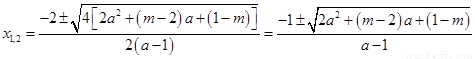
(i)当时,(负根舍去)),

函数有唯一零点

(ii)当时,的两根都是正数,

所以当时,

函数有唯一零点

(iii)当时,

③方程(※)有二解

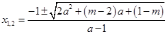
(i)若时,

(负根舍去)),函数有两个零点,

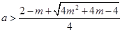
(ii)当时,的两根都是正数,

时,

(i)函数数有两个零点

(ii)当时,恒成立,

所以大于的任意实数,函数有两个零点

.

考点:1.不等式的解集与方程之间的关系;2.不等式的求解;3.二次函数的零点

 

练习册系列答案
相关习题

科目:高中数学 来源: 题型:

已知二次函数f(x)=ax2+bx+c.
(1)若a>b>c且f(1)=0,试证明f(x)必有两个零点;
(2)若对x1,x2∈R且x1<x2,f(x1)≠f(x2),方程f(x)=
12
[f(x1)+f(x2)]有两个不等实根,证明必有一实根属于(x1,x2).

查看答案和解析>>

科目:高中数学 来源: 题型:

已知二次函数f(x)=ax2+bx+c.
(1)若a>b>c,且f(1)=0,是否存在m∈R,使得f(m)=-a成立时,f(m+3)为正数,若存在,证明你的结论,若不存在,说明理由;
(2)若对x1x2∈R,且x1x2,f(x1)≠f(x2),方程f(x)=
12
[f(x1)+f(x2)]
有2个不等实根,证明必有一个根属于(x1,x2).
(3)若f(0)=0,是否存在b的值使{x|f(x)=x}={x|f[f(x)]=x}成立,若存在,求出b的取值范围,若不存在,说明理由.

查看答案和解析>>

科目:高中数学 来源: 题型:

已知二次函数f(x)=ax2+bx+c.
(1)若a>b>c,且f(1)=0,证明f(x)的图象与x轴有2个交点;
(2)在(1)的条件下,是否存在m∈R,使得f(m)=-a成立时,f(m+3)为正数,若存在,证明你的结论,若不存在,请说明理由;
(3)若对x1,x2∈R,且x1<x2,f(x1)≠f(x2),方程f(x)=
12
[f(x1)+f(x2)]有两个不等实根,证明必有一个根属于(x1,x2).

查看答案和解析>>

科目:高中数学 来源: 题型:

已知二次函数f(x)=ax2+bx+c.
(Ⅰ)若a>0且bc≠0,f(0)=-1,|f(-1)|=|f(1)|=1,试求f(x)的解析式;
(Ⅱ)若对x1、x2∈R且x1<x2,f(x1)≠f(x2),方程f(x)=
12
[f(x1)+f(x2)]
有两个不等实根,证明必有一实根属于(x1,x2).

查看答案和解析>>

科目:高中数学 来源:2010年山西大学附中高一第二次月考数学试卷 题型:解答题

(本小题满分10分)

已知二次函数满足;方程有两个实根,且两实根的平方和为10.

(1)求函数的解析式;

(2)若关于的方程在区间内有两个不等实根,求实数的取值范围.

 

 

查看答案和解析>>

同步练习册答案