精英家教网 > 高中数学 > 题目详情

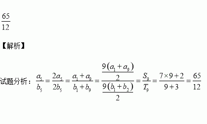
两个等差数列=

练习册系列答案
相关习题

科目:高中数学 来源:2015-2016学年河北省高二上学期第二次月考理数学试卷(解析版) 题型:解答题

已知直线,求的值,使得

(1)

(2)

查看答案和解析>>

科目:高中数学 来源:2015-2016学年福建省福安市高二上学期第一次月考试数学试卷(解析版) 题型:选择题

在数列中,对于任意,若存在常数,使得恒成立,则称数列阶数列。现给出下列三个结论:

①若,则数列为1阶数列;

②若,则数列为2数列;

③若,则数列为3数列;以上结论正确的序号是

A.①② B.①③ C.②③ D.①②③

查看答案和解析>>

科目:高中数学 来源:2015-2016学年河北省高二10月月考数学试卷(解析版) 题型:解答题

(本小题满分12分)已知数列的前项和为

(1)求数列的通项公式;

(2)设,求数列的前项和

查看答案和解析>>

科目:高中数学 来源:2015-2016学年河北省高二上学期第一次月考试数学试卷(解析版) 题型:解答题

(10分)某文具店购进一批新型文具,若按每件15元的价格销售,每天能卖30件,若售价每提高1元,日销售量减少两件.为了使这批文具每天获得400元以上的销售收入,应该怎样制定这批文具的价格?

查看答案和解析>>

科目:高中数学 来源:2015-2016学年黑龙江省高一上学期第一阶段考数学试卷(解析版) 题型:填空题

已知,则=________.

查看答案和解析>>

科目:高中数学 来源:2015-2016学年河南省高一10月月考数学试卷(解析版) 题型:选择题

设整数

, 则下列选项中正确的是 ( )

A、

B、

C、

D、

查看答案和解析>>

科目:高中数学 来源:2015-2016学年陕西省西安市高二10月月考文科数学试卷(解析版) 题型:选择题

数列是公差不为0的等差数列,且为等比数列的连续三项,则数列的公比为( )

A. B.4 C.2 D.

查看答案和解析>>

科目:高中数学 来源:2016届广东省广州市荔湾区高三上学期调研测试一文科数学试卷(解析版) 题型:选择题

已知函数,若的图像与轴有个不同

的交点,则实数的取值范围是

A. B. C. D.

查看答案和解析>>

同步练习册答案