精英家教网 > 高中数学 > 题目详情

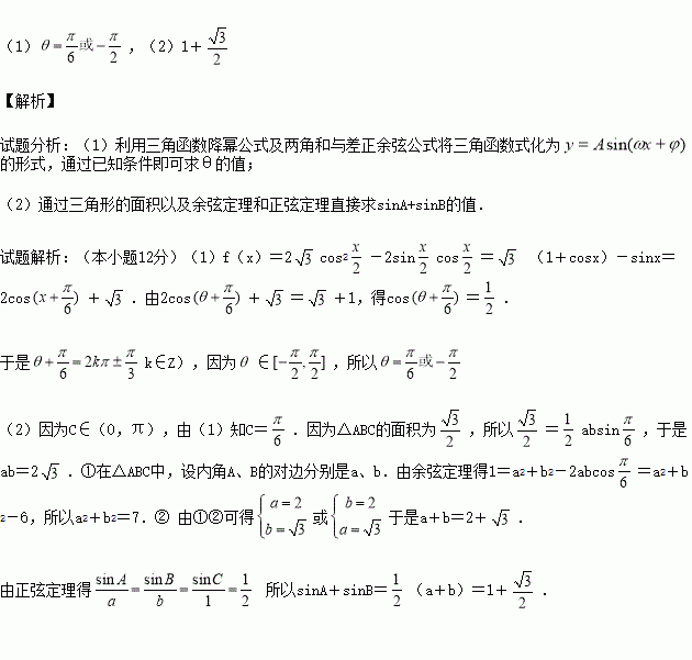
已知函数

(1)设,且,求θ的值;

(2)在△ABC中,AB=1,,且△ABC的面积为,求sinA+sinB的值.

练习册系列答案
相关习题

科目:高中数学 来源:2015-2016学年西藏日喀则一中高二12月文科数学试卷(解析版) 题型:选择题

已知“命题,使得成立”为真命题,则实数的取值范围是( )

A. B. C. D.

查看答案和解析>>

科目:高中数学 来源:2015-2016学年江西高安中学高二重点上期中文数学卷(解析版) 题型:选择题

已知椭圆 (a>b>0)的右焦点为F(3,0),点(0,-3)在椭圆上,则椭圆的方程为 ( )

A、 B、

C、 D、

查看答案和解析>>

科目:高中数学 来源:2015-2016学年湖南师大附中高二上第二次段测文科数学卷(解析版) 题型:选择题

已知双曲线的焦距为2c,焦点到双曲线C的渐近线的距离为,则双曲线C的离心率为( )

A.2 B. C. D.

查看答案和解析>>

科目:高中数学 来源:2015-2016学年河北省高二上期中文科数学试卷(解析版) 题型:解答题

已知角A、B、C为△ABC的三个内角,其对边分别为a、b、c,若=(-cos,sin),=(cos,sin),a=2,且·

(1)若△ABC的面积S=,求b+c的值.

(2)求b+c的取值范围.

查看答案和解析>>

科目:高中数学 来源:2015-2016学年海南省高一上学期期中数学试卷(解析版) 题型:解答题

定义在R上的单调函数满足,且对任意,都有

(1)求证为奇函数;

(2)若对任意恒成立,求实数k的取值范围.

查看答案和解析>>

科目:高中数学 来源:2015-2016学年贵州省凯里市高二上期末文科数学试卷(解析版) 题型:填空题

的单调递增区间为__________.

查看答案和解析>>

科目:高中数学 来源:2015-2016学年四川省高一上期中数学试卷(解析版) 题型:选择题

函数的单调递减区间是( )

A. B. C. D.

查看答案和解析>>

科目:高中数学 来源:2015-2016学年河北冀州中学高二上第三次月考理科数学卷(解析版) 题型:填空题

已知O为坐标原点,点M的坐标为(1,-1),点N(x,y)的坐标x,y满足

的概率为_________.

查看答案和解析>>

同步练习册答案