精英家教网 > 高中数学 > 题目详情

已知O为坐标原点,点M的坐标为(1,-1),点N(x,y)的坐标x,y满足

的概率为_________.

练习册系列答案
相关习题

科目:高中数学 来源:2015-2016学年河北省高二上期中理科数学试卷(解析版) 题型:解答题

已知函数

(1)设,且,求θ的值;

(2)在△ABC中,AB=1,,且△ABC的面积为,求sinA+sinB的值.

查看答案和解析>>

科目:高中数学 来源:2015-2016学年山东潍坊中学高二上学期期末理科数学试卷(解析版) 题型:解答题

已知数列为等差数列,,数列的前n项和为,且有

(Ⅰ)求的通项公式;

(Ⅱ)若的前n项和为,求

查看答案和解析>>

科目:高中数学 来源:2016届广西河池高中高三上第五次月考理科数学试卷(解析版) 题型:选择题

已知复数在复平面上对应的点位于第二象限,且(其中是虚数单位),则实数的取值范围是( )

A. B.

C. D.

查看答案和解析>>

科目:高中数学 来源:2016届宁夏银川一中高三上学期第四次月考理科数学试卷(解析版) 题型:选择题

已知,函数,当时,存在x,t使得成立,则a的最小值为( )

A.4 B.3 C.2 D.1

查看答案和解析>>

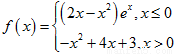
科目:高中数学 来源:2015-2016学年辽宁省高二12月月考理科数学卷(解析版) 题型:填空题

已知函数,若函数恰有两个不同的零点,

则实数的取值范围为

查看答案和解析>>

科目:高中数学 来源:2015-2016学年吉林省高二上期中文科数学试卷(解析版) 题型:选择题

已知满足记目标函数最大值为,最小值为,则

A.1 B.2 C.7 D.8

查看答案和解析>>

科目:高中数学 来源:2015-2016学年宁夏石嘴山三中高二上期中理科数学试卷(解析版) 题型:选择题

过椭圆)的左焦点轴的垂线交椭圆于点为右焦点,若,则椭圆的离心率为( )

A. B. C. D.

查看答案和解析>>

科目:高中数学 来源:2015-2016学年江苏省泰兴市高一上学期期中考试数学试卷(解析版) 题型:填空题

函数是定义在上的偶函数,当时,,则

查看答案和解析>>

同步练习册答案