精英家教网 > 高中数学 > 题目详情

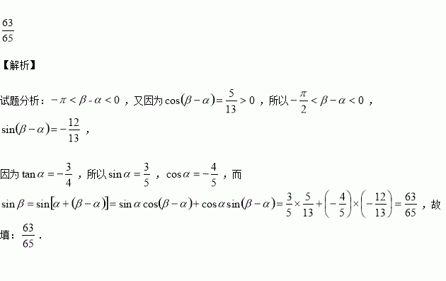
已知,则的值为 .

练习册系列答案
相关习题

科目:高中数学 来源:2015-2016学年四川省实验学校高一下学期期中考试数学试卷(解析版) 题型:解答题

已知向量,且

(1)求

(2)若是钝角,是锐角,且,求的值。

查看答案和解析>>

科目:高中数学 来源:2016年内蒙古包头市高三学业水平测试与评估(二)数学文试卷(解析版) 题型:解答题

已知函数

(1)讨论的单调性并求最大值;

(2)设,若恒成立,求实数的取值范围。

查看答案和解析>>

科目:高中数学 来源:2016年内蒙古包头市高三学业水平测试与评估(二)数学文试卷(解析版) 题型:选择题

已知,则( )。

A.

B.

C.

D.

查看答案和解析>>

科目:高中数学 来源:2015-2016学年福建师大附中高一下学期期末数学试卷(解析版) 题型:解答题

已知||=2,||=3,(2﹣3)•(2+)=3.

(1)求的夹角的余弦值;

(2)求|+|;

(3)求+方向上的投影.

查看答案和解析>>

科目:高中数学 来源:2015-2016学年福建师大附中高一下学期期末数学试卷(解析版) 题型:选择题

中,若,则一定是( )

A.钝角三角形 B.锐角三角形 C.直角三角形 D.不能确定

查看答案和解析>>

科目:高中数学 来源:2015-2016学年福建师大附中高一下学期期末数学试卷(解析版) 题型:选择题

设向量=(m,1),=(1,2),且|+|2=||2+||2,则m=( )

A. B.1 C. D.

查看答案和解析>>

科目:高中数学 来源:2015-2016学年江苏徐州沛县中学高二下学期质检二数学(文)试卷(解析版) 题型:填空题

若函数上的最小值和最大值之和为,则的值为

查看答案和解析>>

科目:高中数学 来源:2015-2016学年江西瑞昌一中高二下学期期中(文)数学试卷(解析版) 题型:选择题

某种产品的广告费支出x与销售额y(单位:万元)之间有如下一组数据:

 

2

4

5

6

8

 

30

40

60

50

70

若y与x之间的关系符合回归直线方程 ,则a的值是( )

A.17.5 B.27.5 C.17 D .14

查看答案和解析>>

同步练习册答案