精英家教网 > 高中数学 > 题目详情

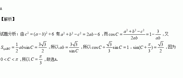
在△ABC中,内角A、B、C的对边分别是a、b、c,若,△ABC的面积为,则角的大小为( )

(A) (B) (C) (D)

练习册系列答案
相关习题

科目:高中数学 来源:2016届贵州省高三第十次月考文科数学试卷(解析版) 题型:选择题

若函数在区间上不是单调函数,则实数的取值范围是( )

A. B.

C. D.

查看答案和解析>>

科目:高中数学 来源:2016届安徽师大附中高三最后一卷文科数学试卷(解析版) 题型:填空题

在三张奖券中有一、二等奖各一张,另一张无奖,甲乙两人各抽取一张(不放回),两人都中奖的概率为

查看答案和解析>>

科目:高中数学 来源:2015-2016学年吉林省高一下期中数学试卷(解析版) 题型:解答题

在锐角△ABC中,分别是角所对的边,且

(Ⅰ)求角的大小;

(Ⅱ)若,求△ABC面积的最大值.

查看答案和解析>>

科目:高中数学 来源:2015-2016学年吉林省高一下期中数学试卷(解析版) 题型:选择题

已知函数,若数列项和为,则的值为( )

(A) (B) (C) (D)

查看答案和解析>>

科目:高中数学 来源:2015-2016学年吉林省高一下期中数学试卷(解析版) 题型:选择题

是任意实数,且,则下列结论正确的是( )

(A) (B) (C) (D)

查看答案和解析>>

科目:高中数学 来源:2016届江西省高三第三次模拟文科数学试卷(解析版) 题型:解答题

如图所示,菱形与正三角形所在平面互相垂直,平面,且.

(1)求证:平面

(2)若,求几何体的体积.

查看答案和解析>>

科目:高中数学 来源:2016届江西省高三第三次模拟文科数学试卷(解析版) 题型:选择题

复数满足,则( )

A. B. C. D.

查看答案和解析>>

科目:高中数学 来源:2016年山西省高考冲刺压轴卷三理科数学试卷(解析版) 题型:选择题

某校高三学生有名,在一次模拟考试中数学成绩服从正态分布,已知,若学校按分层抽样的方式从中抽取份试卷进行分析研究,则应从成绩不低于分的试卷中抽( )

A.份 B.份 C.份 D.

查看答案和解析>>

同步练习册答案