精英家教网 > 高中数学 > 题目详情

(本小题满分10分)

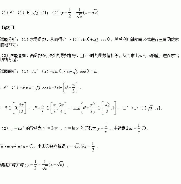
(1)设函数,其中θ∈,求导数的取值范围;

(2)若曲线与曲线在它们的公共点处具有公共切线,

求公共切线的方程.

练习册系列答案
相关习题

科目:高中数学 来源:2015-2016学年福建省高一上学期期中数学试卷(解析版) 题型:选择题

设函数的定义域都为R,且是奇函数,是偶函数,则下列结论正确的是( )

A.是偶函数

B.||是奇函数

C.||是奇函数

D.||是奇函数

查看答案和解析>>

科目:高中数学 来源:2016届河南省原名校高三上学期第一次联考文科数学试卷(解析版) 题型:填空题

若函数上的增函数,则实数的取值范围是

查看答案和解析>>

科目:高中数学 来源:2015-2016学年四川绵阳南山中学高二上期中文科数学试卷(解析版) 题型:填空题

直线与直线平行,则______

查看答案和解析>>

科目:高中数学 来源:2015-2016学年四川绵阳南山中学高二上期中理科数学试卷(解析版) 题型:选择题

椭圆的焦点为,点在椭圆上,如果线段的中点在 轴上,那么的 ( )

A、倍 B、倍 C、倍 D、

查看答案和解析>>

科目:高中数学 来源:2015-2016学年广西桂林中学高二上期中考试文科数学试卷(解析版) 题型:解答题

(12分)在中,角所对的边分别为,且

(Ⅰ)当时,求证:

(Ⅱ)若,求的值

查看答案和解析>>

科目:高中数学 来源:2015-2016学年福建省师大附高二上期中理科数学试卷(解析版) 题型:填空题

如图,一辆汽车在一条水平的公路上向正西行驶,到处时测得公路北侧一山顶D在西偏北的方向上,行驶600m后到达处,测得此山顶在西偏北的方向上,仰角为,则此山的高度__________m.

查看答案和解析>>

科目:高中数学 来源:2015-2016学年江苏省泰兴市高二上学期期中考试数学试卷(解析版) 题型:填空题

已知命题:“若,则有实数解”的逆命题;命题:“若函数的值域为,则”.以下四个结论:

是真命题;②是假命题;③是假命题;④为假命题.

其中所有正确结论的序号为

查看答案和解析>>

科目:高中数学 来源:2014-2015学年浙江省等三校高二上学期期中考试数学试卷(解析版) 题型:解答题

设等差数列{an}满足a3=5,a10=-9.

(1)求{an}的通项公式;

(2)求{an}的前n项和Sn及使得Sn最大的序号n的值.

查看答案和解析>>

同步练习册答案