精英家教网 > 高中数学 > 题目详情

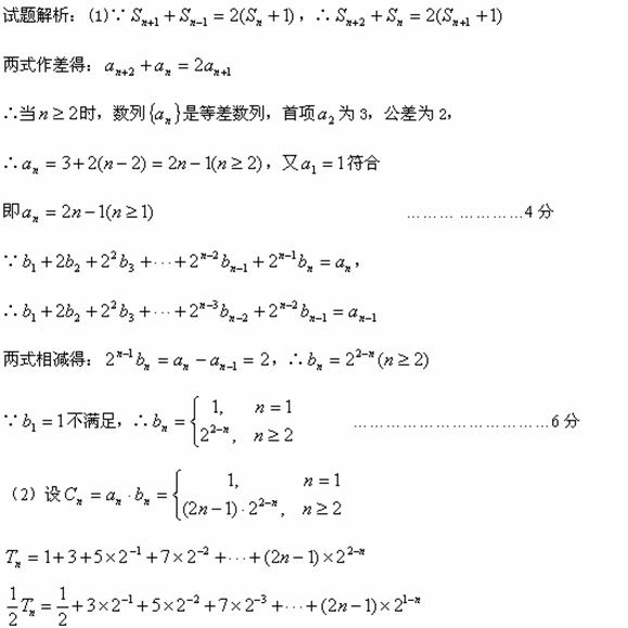
已知数列满足,且,其中为数列的前项和,又,对任意都成立。

(1)求数列的通项公式;                       

(2)求数列的前项和


两式作差得:

         

所以,                  …… ………………..12分

考点:1.等差数列的通项公式;2.等比数列的前n项和;3.错位相减法求和.


练习册系列答案
相关习题

科目:高中数学 来源: 题型:


据民生所望,相关部门对所属单位进行整治性核查,标准如下表:

规定初查累计权重分数为10分或9分的不需要复查并给予奖励,10分的奖励18万元;9分的奖励8万元;初查累计权重分数为7分及其以下的停下运营并罚款1万元;初查累计权重分数为8分的要对不合格指标进行复查,最终累计权重得分等于初查合格部分与复查部分得分的和,最终累计权重分数为10分方可继续运营,否则停业运营并罚款1万元.

(1)求一家单位既没获奖励又没被罚款的概率;

(2)求一家单位在这次整治性核查中所获金额X(万元)的分布列和数学期望(奖励为正数,罚款为负数).

查看答案和解析>>

科目:高中数学 来源: 题型:


在直角三角形中,,则__________.

查看答案和解析>>

科目:高中数学 来源: 题型:


已知数列是公比为的等比数列,且,则的值为(   )

A.             B.           C.           D.

查看答案和解析>>

科目:高中数学 来源: 题型:


若等比数列的前项n和为,且,则       .

查看答案和解析>>

科目:高中数学 来源: 题型:


为正实数,则“”是“”成立的(  )

A.充分不必要条件                     B.必要不充分条件

C.既不充分也不必要条件               D.充要条件

查看答案和解析>>

科目:高中数学 来源: 题型:


已知函数,且是它的最大值,(其中m、n为常数且)给出下列命题:①是偶函数;②函数的图象关于点对称;③是函数的最小值;④.

其中真命题有(    )

A. ①②③④             B.②③              C. ①②④          D.②④

查看答案和解析>>

科目:高中数学 来源: 题型:


已知等比数列的各项均为正数,且成等差数列,成等比数列.

(1)求数列的通项公式;

(2)已知,记

,求证:

查看答案和解析>>

科目:高中数学 来源: 题型:


函数的图象大致是(   )

查看答案和解析>>

同步练习册答案