精英家教网 > 高中数学 > 题目详情
椭圆中过P(1,1)的弦恰好被P点平分,则此弦所在直线的方程是   
【答案】分析:设出两个交点的坐标,将它们代入椭圆的方程,将两个式子相减得到有关相交弦的中点与相减弦所在直线的斜率关系,求出直线的斜率,利用点斜式写出直线的方程.
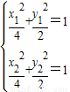
解答:解:直线与椭圆的两个交点坐标为(x1,y1);(x2,y2)则
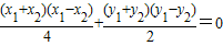
两式相减得

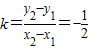
∵P(1,1)为中点

∴直线的斜率为
∴此弦所在直线的方程是
即x+2y-3=0
故答案为x+2y-3=0
点评:解决直线与圆锥曲线相交关于相交弦的问题,一般利用将交点坐标代入圆锥曲线的方程,两个式子相减得到中点与斜率的关系.
练习册系列答案
相关习题

科目:高中数学 来源: 题型:

精英家教网设F1,F2分别是椭圆C:
x2
6m2
+
y2
2m2
=1
(m>0)的左,右焦点.
(1)当P∈C,且
PF1
PF
2
=0
,|PF1|•|PF2|=8时,求椭圆C的左,右焦点F1、F2
(2)F1、F2是(1)中的椭圆的左,右焦点,已知⊙F2的半径是1,过动点Q的作⊙F2切线QM,使得|QF1|=
2
|QM|
(M是切点),如图.求动点Q的轨迹方程.

查看答案和解析>>

科目:高中数学 来源: 题型:

椭圆
x2
4
+
y2
2
=1
中过P(1,1)的弦恰好被P点平分,则此弦所在直线的方程是
 

查看答案和解析>>

科目:高中数学 来源: 题型:

已知椭圆
x2
8
+
y2
4
=1
,过点P(1,1)作直线l与椭圆交于M、N两点.
(1)若点P平分线段MN,试求直线l的方程;
(5)设与满足(1)中条件的直线l平行的直线与椭圆交于A、B两点,AP与椭圆交于点C,BP与椭圆交于点D,求证:CD∥AB.

查看答案和解析>>

科目:高中数学 来源:不详 题型:填空题

椭圆
x2
4
+
y2
2
=1
中过P(1,1)的弦恰好被P点平分,则此弦所在直线的方程是______.

查看答案和解析>>

同步练习册答案