精英家教网 > 高中数学 > 题目详情

某市公租房的房源位于A、B、C三个片区,设每位申请人只申请其中一个片区的房源,且申请其中任一个片区的房源是等可能的,求该市的任4位申请人中:
 (1)恰有2人申请A片区房源的概率;
(2)申请的房源所在片区的个数ξ的分布列与期望。

解:(1)所有可能的申请方式有34种,恰有2人申请A片区房源的申请方式有种,从而恰有2人申请A片区房源的概率为
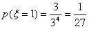
(2)ξ的所有可能值为1,2,3



综上知,ξ有分布列

从而有
练习册系列答案
  • 古诗文夯基与积累系列答案
  • 古诗文系统化教与学系列答案
  • 课外古诗文阅读系列答案
  • 初中课外文言文延边大学出版社系列答案
  • 海豚图书课外现代文阅读系列答案
  • 初中生必做的阅读理解与完形填空系列答案
  • DIY现代文阅读满分特训100篇系列答案
  • 文言文课内外巩固与拓展系列答案
  • 文言文扩展阅读系列答案
  • 文言文全解一本通系列答案
  • 年级 高中课程 年级 初中课程
    高一 高一免费课程推荐! 初一 初一免费课程推荐!
    高二 高二免费课程推荐! 初二 初二免费课程推荐!
    高三 高三免费课程推荐! 初三 初三免费课程推荐!
    相关习题

    科目:高中数学 来源: 题型:

    某市公租房的房源位于A、B、C三个片区,设每位申请人只申请其中一个片区的房源,且申请其中任一个片区的房源是等可能的,求该市的4位申请人中:
    (I)没有人申请A片区房源的概率;
    (II)每个片区的房源都有人申请的概率.

    查看答案和解析>>

    科目:高中数学 来源: 题型:

    某市公租房的房源位于A、B、C三个片区,设每位申请人只申请其中一个片区的房源,且申请其中任一个片区的房源是等可能的,求该市的任4位申请人中:
    (Ⅰ)恰有2人申请A片区房源的概率;
    (Ⅱ)申请的房源所在片区的个数的ξ分布列与期望.

    查看答案和解析>>

    科目:高中数学 来源:2011-2012学年江苏省高三第一学期第二次阶段考试数学 题型:解答题

    (本小题满分10分)

    某市公租房的房源位于A,B,C三个片区,设每位申请人只申请其中一个片区的房源,且申请其中任一个片区的房源是等可能的求该市的任4位申请人中:

       (Ⅰ)恰有2人申请A片区房源的概率;

       (Ⅱ)申请的房源所在片区的个数的分布列与期望

     

    查看答案和解析>>

    科目:高中数学 来源:2011年高考试题数学文(重庆卷)解析版 题型:解答是:本大题

     (本小题满分13分,(Ⅰ)小问6分,(Ⅱ)小问7分.)某市公租房的房源位于三个片区.设每位申请人只申请其中一个片区的房源,且申请其中任一个片区的房源是等可能的.求该市的4位申请人中:

    (Ⅰ)没有人申请A片区房源的概率;

    (Ⅱ)每个片区的房源都有人申请的概率.

     

     

     

    查看答案和解析>>

    科目:高中数学 来源:2011年重庆市高考数学试卷(文科)(解析版) 题型:解答题

    某市公租房的房源位于A、B、C三个片区,设每位申请人只申请其中一个片区的房源,且申请其中任一个片区的房源是等可能的,求该市的4位申请人中:
    (I)没有人申请A片区房源的概率;
    (II)每个片区的房源都有人申请的概率.

    查看答案和解析>>

    同步练习册答案